Đáp án `+` Giải thích các bước giải:
 Muốn tìm mẫu thức chung ta có thể làm như sau:
`->` Phân tích mẫu thức của các phân thức đã cho thành nhân tử
`->` Mẫu thức chung cần tìm là một tích mà các nhân tử được chọn như sau:
 `-` Nhân tử bằng số của mẫu thức chung là tích các nhân tử bằng số ở các mẫu thức của các phân thức đã cho.(Nếu các nhân tử bằng số ở các mẫu thức là những số nguyên dương thì nhân tử bằng số của mẫu thức chung là Bội chung nhỏ nhất của chúng).
 `-` Với mỗi lũy thừa của cùng một biểu thức có mặt trong các mẫu thức, ta chọn lũy thừa với số mũ cao nhất.
  `@` Chú ý: Khi tìm mẫu thức chung, ta chọn mẫu thức có dạng ngắn gọn, đơn giản nhất.
`->` Ví dụ:
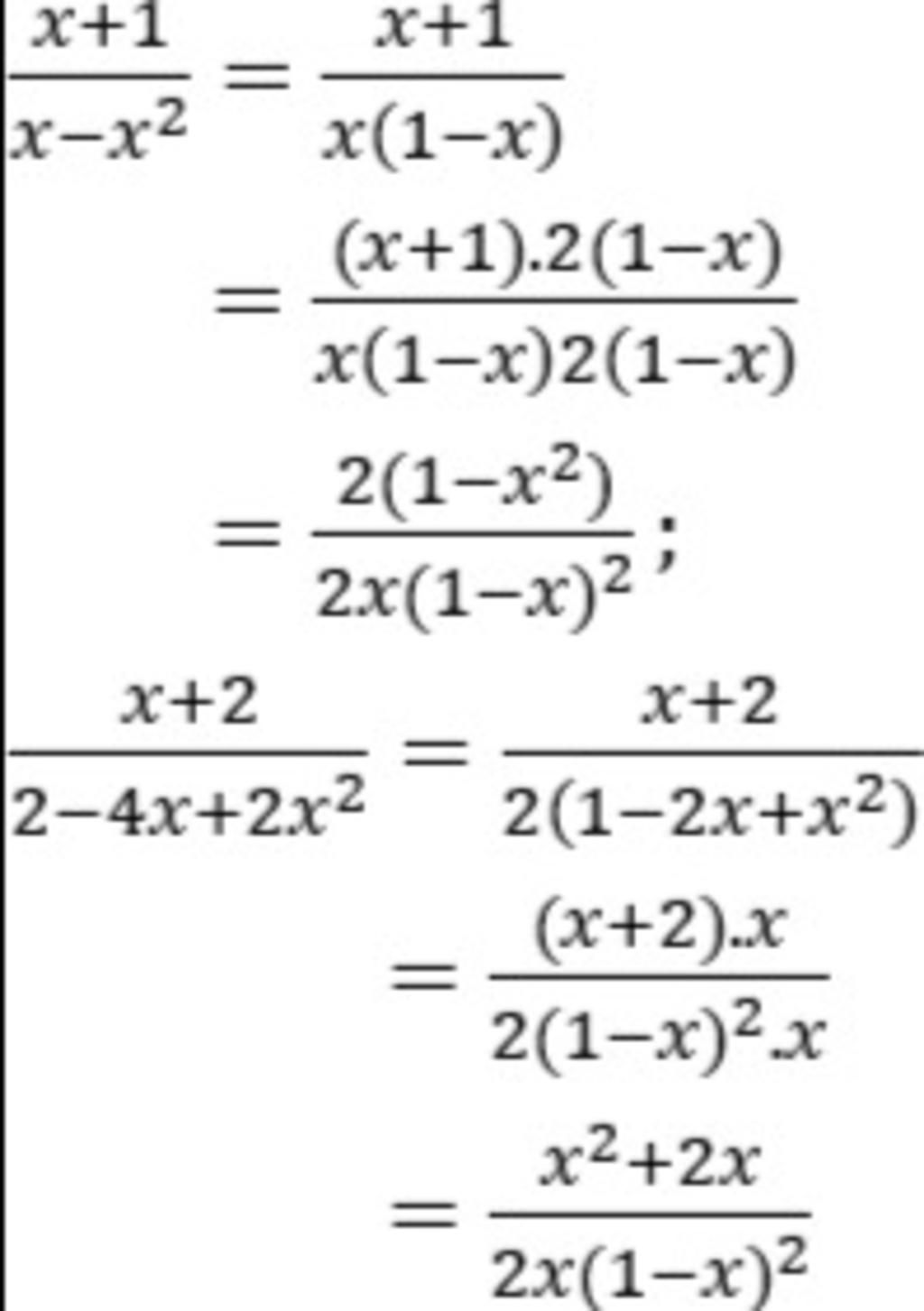
   Mẫu thức 1: x - x2 = x(1 - x);   
   Mẫu thức 2: 2 - 4x + 2x2 = 2(1 – 2x + x2) = 2(1 - x)2
   Mẫu thức chung: 2x(1 - x)2
   Nhân tử phụ 1: 2(1 – x);     
   Nhân tử phụ 2: x
Quy đồng: (hình ảnh)
$@Chanh$
$\text{#Bulletproof Boy Scout}$
 
 
Theo kinh nghiệm của mình về việc tìm mẫu thức chung thì:
1) bạn phân tích thành nhân tử các mẫu bài cho
(Nhất định phải thành thạo bảy hằng đẳng thức đáng nhớ nha)
2) mẫu chung là mẫu chứa tất cả các nhân tử đó
VD:
A=$\frac{x}{$x^{2}$ -9}$ + $\frac{x}{x -3}$
⇔A= $\frac{x}{(x+3).(x-3)}$ + $\frac{x}{x -3}$ (mẫu chung là (x+3).(x-3) nha)
⇔A= $\frac{x}{(x+3).(x-3)}$ + $\frac{x.(x+3)}{x -3}$
⇔A= $\frac{x+x.(x+3)}{(x+3).(x-3)}$
Toán học là môn khoa học nghiên cứu về các số, cấu trúc, không gian và các phép biến đổi. Nói một cách khác, người ta cho rằng đó là môn học về "hình và số". Theo quan điểm chính thống neonics, nó là môn học nghiên cứu về các cấu trúc trừu tượng định nghĩa từ các tiên đề, bằng cách sử dụng luận lý học (lôgic) và ký hiệu toán học. Các quan điểm khác của nó được miêu tả trong triết học toán. Do khả năng ứng dụng rộng rãi trong nhiều khoa học, toán học được mệnh danh là "ngôn ngữ của vũ trụ".
Nguồn : Wikipedia - Bách khoa toàn thưLớp 8 - Năm thứ ba ở cấp trung học cơ sở, học tập bắt đầu nặng dần, sang năm lại là năm cuối cấp áp lực lớn dần nhưng các em vẫn phải chú ý sức khỏe nhé!
Nguồn : ADMIN :))Copyright © 2021 HOCTAP247