Trang chủ Vật Lý Lớp 10 Hai xe máy cùng xuất phát từ hai điểm A...

Hai xe máy cùng xuất phát từ hai điểm A và B cách nhau 400m và cùng chạy theo hướng AB trên đoạn đường thẳng đi qua A và B . Xe máy xuất phát từ A chuyển động

Câu hỏi :

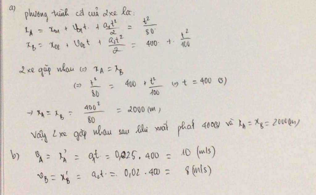
Hai xe máy cùng xuất phát từ hai điểm A và B cách nhau 400m và cùng chạy theo hướng AB trên đoạn đường thẳng đi qua A và B . Xe máy xuất phát từ A chuyển động nhanh dần đều với gia tốc 0,025m/s^2 . Xe máy xuất phát từ B chuyển động nhanh dần đều với gia tốc 0,02m/s^2 . Chọn A làm gốc tọa độ, chiều dương từ A đến B, gốc thời gian là lúc hai xe xuất phát. a. Xác định thời điểm và vị trí hai xe gặp nhau b. Tính vận tốc của mỗi xe tại vị trí đuổi kịp nhau

Lời giải 1 :

Giải thích các bước giải:

 

image

Thảo luận

Bạn có biết?

Vật lý học (tiếng Anh:physics, từ tiếng Hi Lạp cổ: φύσις có nghĩa là kiến thức về tự nhiên) là một môn khoa học tự nhiên tập trung vào sự nghiên cứu vật chất và chuyển động của nó trong không gian và thời gian, cùng với những khái niệm liên quan như năng lượng và lực.Vật lí học là một trong những bộ môn khoa học lâu đời nhất, với mục đích tìm hiểu sự vận động của vũ trụ.

Nguồn : Wikipedia - Bách khoa toàn thư

Tâm sự 10

Lớp 10 - Năm thứ nhất ở cấp trung học phổ thông, năm đầu tiên nên có nhiều bạn bè mới đến từ những nơi xa hơn vì ngôi trường mới lại mỗi lúc lại xa nhà mình hơn. Được biết bên ngoài kia là một thế giới mới to và nhiều điều thú vị, một trang mới đang chò đợi chúng ta.

Nguồn : ADMIN :))

Copyright © 2021 HOCTAP247