Trang chủ Hóa Học Lớp 11 Câu 12.Nếu trộn 100ml dung dịch KOH có pH =...

Câu 12.Nếu trộn 100ml dung dịch KOH có pH = 12 với 100ml dung dịch HCI 0,012M. Hỏi pH của dung dịch thu được sau khi trộn bằng:

Câu hỏi :

Giải giúp e với ak anh ơi

image

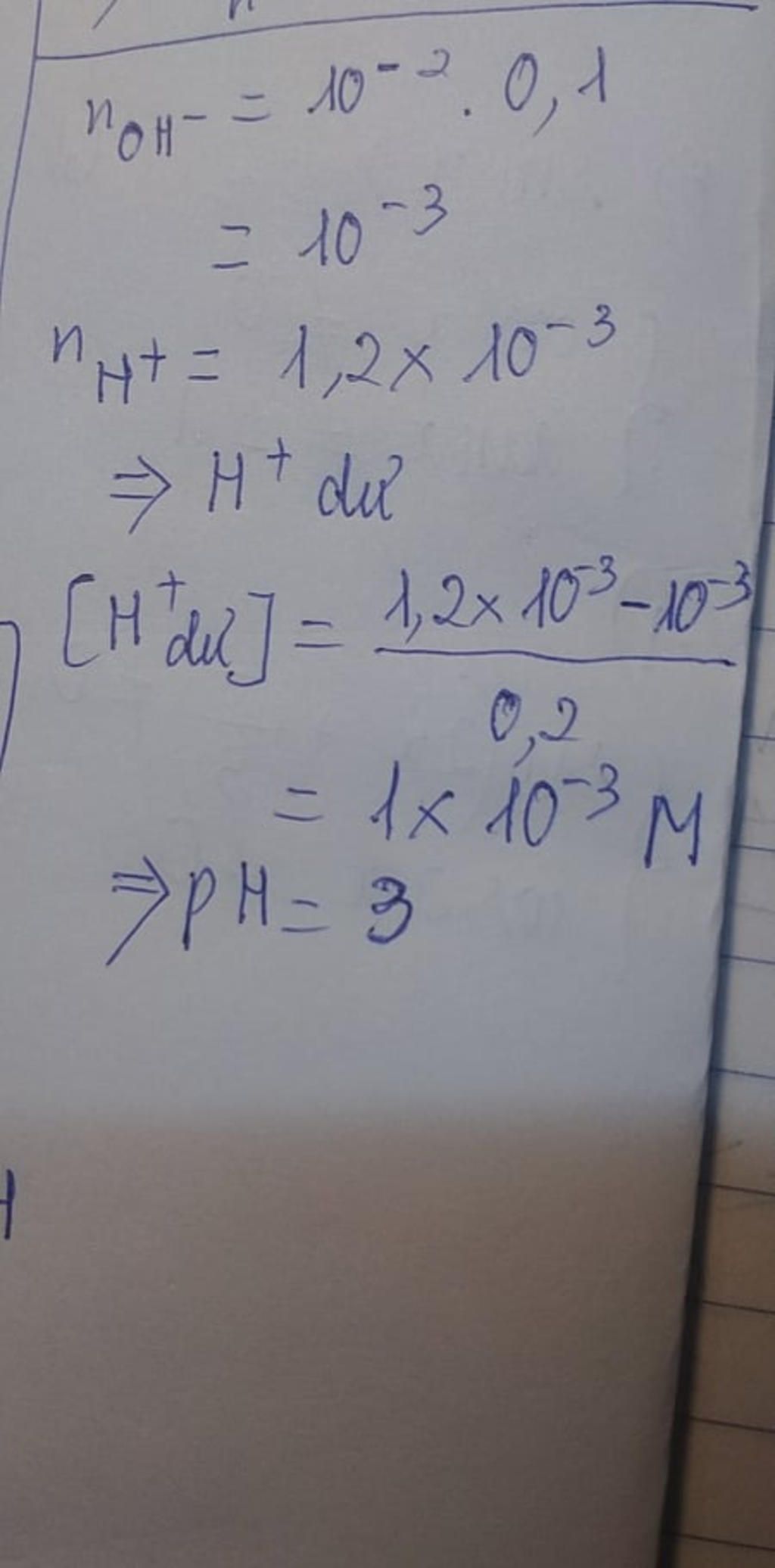
Lời giải 1 :

chúc bn hc tốt vote mk 5* và ctlhn nhé

 

image

Thảo luận

Lời giải 2 :

Đáp án:

\(pH = 3\)

Giải thích các bước giải:

\(\begin{array}{l}
pH = 12\\
 \Rightarrow {C_{{M_{KOH}}}} = {\rm{[O}}{{\rm{H}}^ - }{\rm{]}} = 0,01M\\
{n_{O{H^ - }}} = 0,1 \times 0,01 = 0,001mol\\
{n_{HCl}} = 0,1 \times 0,012 = 0,0012mol\\
{n_{{H^ + }}} = {n_{HCl}} = 0,0012mol\\
{H^ + } + O{H^ - } \to {H_2}O\\
\dfrac{{0,0012}}{1} > \dfrac{{0,001}}{1} \Rightarrow {H^ + }\text{ dư}\\
{n_{{H^ + }d}} = 0,0012 - 0,001 = 0,0002mol\\
[{H^ + }d] = \dfrac{{0,0002}}{{0,1 + 0,1}} = 0,001M\\
pH =  - \log (0,001) = 3
\end{array}\)

Bạn có biết?

Hóa học, một nhánh của khoa học tự nhiên, là ngành nghiên cứu về thành phần, cấu trúc, tính chất, và sự thay đổi của vật chất.Hóa học nói về các nguyên tố, hợp chất, nguyên tử, phân tử, và các phản ứng hóa học xảy ra giữa những thành phần đó.Hóa học đôi khi được gọi là "khoa học trung tâm" vì nó là cầu nối các ngành khoa học tự nhiên khác như vật lý học, địa chất học và sinh học.

Nguồn : Wikipedia - Bách khoa toàn thư

Tâm sự 11

Lớp 11 - Năm thứ hai ở cấp trung học phổ thông, gần đến năm cuối cấp nên học tập là nhiệm vụ quan trọng nhất. Nghe nhiều đến định hướng sau này rồi học đại học. Ôi nhiều lúc thật là sợ, hoang mang nhưng các em hãy tự tin và tìm dần điều mà mình muốn là trong tương lai nhé!

Nguồn : ADMIN :))

Copyright © 2021 HOCTAP247