Trang chủ Vật Lý Lớp 11 Câu 1. Cho hai điện tích q1 = -4. 10-10...

Câu 1. Cho hai điện tích q1 = -4. 10-10 C, q2 = - 8. 10-10 C, đặt tại A và B trong không khí biết AB = 100 cm. Xác định vectơ cường độ điện trường E tại H,

Câu hỏi :

mọi người giúp em giải bài tập này với ạ

image

Lời giải 1 :

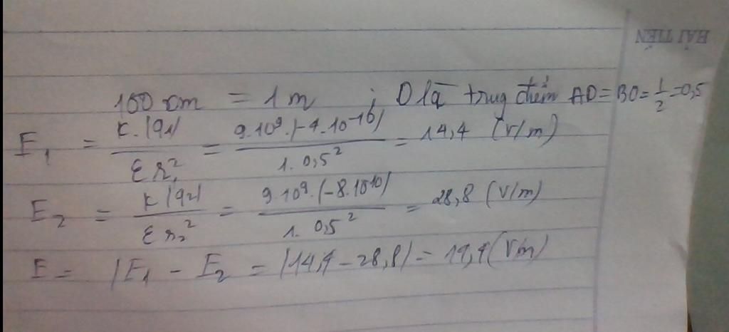
Bài 1: Đổi 100 cm = 1m

Vì H là trung điểm của AB nên ta có: AH = HB = $\frac{1}{2}$ = 0,5 (m)

Ta có: 

$E_{1}$ = $9.10^{9}$.$\frac{|-4 . 10 ^{-10}|}{0,5^{2}}$ = 14,4 V/m

$E_{2}$ = $9.10^{9}$.$\frac{|-8 . 10 ^{-10}|}{0,5^{2}}$ = 28,8 V/m

⇒ Vì $\overrightarrow{E_{1}}$ và $\overrightarrow{E_{2}}$ ngược chiều nhau nên ta có: 

E = | $E_{1}$ - $E_{2}$ | = | 14,4 - 28,8 | = 14,4 V/m

Bài 2:

Có 5 nguồn điện mắc nối tiếp nhau nên ta có:

$E_{b}$ = E . 5 = 2,4 . 5 = 12 V

$r_{b}$ = r . 5 = 0,6 . 5 = 3 $\Omega$

Ta có: 

1,5 = $\frac{3^{2}}{R_{đèn}}$ ⇔ $R_{đèn}$ = 6 $\Omega$

 Vì $R_{1}$ và $R_{2}$ mắc nối tiếp nên:

$R_{12}$ = $R_{1}$ + $R_{2}$ = 2 + 4 = 6 $\Omega$

Vì $R_{đèn}$ và $R_{12}$ mắc song song nên:

$\frac{1}{R_{N}}$ = $\frac{1}{R_{đèn}}$ + $\frac{1}{R_{12}}$ = $\frac{1}{6}$ + $\frac{1}{6}$ = $\frac{1}{3}$

⇔ $R_{N}$ = 3 $\Omega$

(*) Cường độ dòng điện chạy qua mạch chính:

I = $\frac{E_{b}}{R_{N} + r}$ = $\frac{12}{3+3}$ = 2A

(*) Hiệu điện thế mạch ngoài:

$U_{N}$ = I . $R_{N}$ = 2 . 3 = 6 V

Thảo luận

Lời giải 2 :

Đáp án:

 

Giải thích các bước giải:

 

image

Bạn có biết?

Vật lý học (tiếng Anh:physics, từ tiếng Hi Lạp cổ: φύσις có nghĩa là kiến thức về tự nhiên) là một môn khoa học tự nhiên tập trung vào sự nghiên cứu vật chất và chuyển động của nó trong không gian và thời gian, cùng với những khái niệm liên quan như năng lượng và lực.Vật lí học là một trong những bộ môn khoa học lâu đời nhất, với mục đích tìm hiểu sự vận động của vũ trụ.

Nguồn : Wikipedia - Bách khoa toàn thư

Tâm sự 11

Lớp 11 - Năm thứ hai ở cấp trung học phổ thông, gần đến năm cuối cấp nên học tập là nhiệm vụ quan trọng nhất. Nghe nhiều đến định hướng sau này rồi học đại học. Ôi nhiều lúc thật là sợ, hoang mang nhưng các em hãy tự tin và tìm dần điều mà mình muốn là trong tương lai nhé!

Nguồn : ADMIN :))

Copyright © 2021 HOCTAP247