Trang chủ Toán Học Lớp 7 cho tam giác abc cân tại a ab lớn hơn...

cho tam giác abc cân tại a ab lớn hơn bc,h là trung điểm của bc a]chứng minh tam giác abh= tam giác ach.từ đó suy ra ah vuông góc với bc. b]tính độ dài ah nếu

Câu hỏi :

cho tam giác abc cân tại a ab lớn hơn bc,h là trung điểm của bc a]chứng minh tam giác abh= tam giác ach.từ đó suy ra ah vuông góc với bc. b]tính độ dài ah nếu bc=4cm,ab=6cm. c]tia phân giác của góc b cắt ah tại i. chứng minh tam giác bic cân. d]đường thẳng đi qua a và song song với bc cắt tia bi,ci lần lượt tại m,n.chứng minh a là trung điểm của đoạn thẳng mn e]kẻ ie vuông góc với ab tại e,if vuông góc với ac tại f.chứng minh ih=ie=if. f]chứng minh:ic vuông góc với cm [vẽ hình,ghi giả thiết và kết luận]

Lời giải 1 :

Giả thiết:

\(\Delta ABC\) cân tại A, AB>BC,

H là trung điểm của BC nên HB=HC (H \(\in \) BC),

tia phân giác \(\widehat{B} \) là BI, BI \(\cap AH=I\),  

đường thẳng qua A và // BC,

\(CI \cap \text{ đường thẳng }=N, BI \cap \text{ đường thẳng }=M\),

IE \(\perp\) AB, IF \(\perp\) AC

Kết luận:

a) \(\Delta ABH\) = \(\Delta ACH,AH\bot BC\) 

b) Độ dài AH

c) \(\Delta CIB\) cân,

d) A là trung điểm của MN

e) IE=IF=IH

f) $IC\bot CM$

Lời giải:

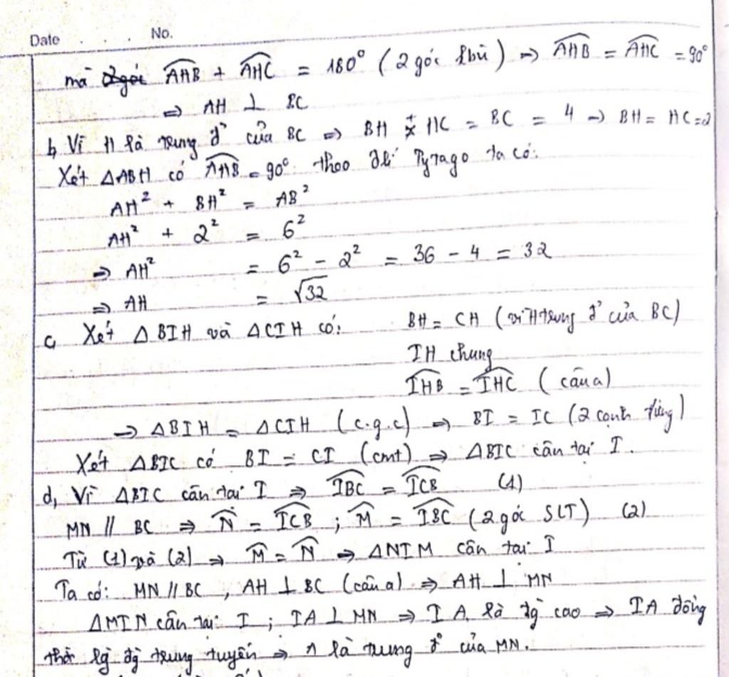
a. Xét \(\Delta ABH\) và \(\Delta ACH\) có:

AH cạnh chung

AB=AC (do $\Delta ABC$ cân đỉnh A)

HB=HC (do H là trung điểm cạnh BC)

Vậy \(\Delta ABH\) = \(\Delta ACH\) (c.c.c)

$\Rightarrow \widehat{AHB}=\widehat{AHC}$ (hai góc tương ứng)

Mà chúng ở vị trí kề bù nên $\widehat{AHB}+\widehat{AHC}=180^o$

$\Rightarrow \widehat{AHB}=\widehat{AHC}=\dfrac{180^o}{2}=90^o$

$\Rightarrow AH\bot BC$

b. HB=HC=\(\dfrac{BC}{2}=\dfrac{4}{2}=2\) cm

Áp dụng định lí Py-ta-go vào $\Delta AHB$ có:

\(AH^{2}=AB^{2}-HB^{2}=6^{2}-2^{2}=32\Rightarrow AH=4\sqrt2\) cm

c. Xét hai tam giác vuông \(\Delta IHB\) và \(\Delta IHC\) có:

IH cạnh chung

HB=HC (giả thiết)

Nên \(\Delta IHB\) = \(\Delta IHC\) (hai cạnh góc vuông)

Suy ra IB=IC (hai cạnh tương ứng) suy ra \(\Delta IBC\) cân đỉnh I.

d. AH vuông góc BC mà MN//BC nên AH vuông góc MN

$\Rightarrow\widehat{IAN}=\widehat{IAM}=90^o$

Do $\widehat{AIN}=\widehat{HIC}$ đối đỉnh,

$\widehat{HIC}=\widehat{HIB}$ (hai góc tương ứng do $\Delta IHB=\Delta IHC$ cmt)

$\widehat{HIB}=\widehat{AIM}$ (đối đỉnh)

$\Rightarrow \widehat{AIN}=\widehat{AIM}$

Xét hai tam giác vuông \(\Delta AIM\) và \(\Delta AIN\) có:

\(\widehat{AIN}=\widehat{AIM}\) (cmt)

AI cạnh chung 

$\widehat{IAN}=\widehat{IAM}=90^o$

Vậy \(\Delta AIM\) = \(\Delta AIN\) (g.c.g)

suy ra AN=AM (hai cạnh tương ứng)

suy ra A là trung điểm MN

e. Ta có $\Delta ABC$ cân đỉnh A nên $\widehat{ABC}=\widehat{ACB}$

Mà $\Delta IHB=\Delta IHC(cmt)\widehat{IBH}=\widehat{ICH}$ (hai góc tương ứng)

$\Rightarrow\widehat{ABC}-\widehat{IBH}=\widehat{ACB}-\widehat{ICH}$

Hay $\widehat{ABI}=\widehat{ACI}$

$\Rightarrow\widehat{ABI}=\widehat{IBH}=\widehat{ICH}=\widehat{ACI}$

$\Rightarrow CI$ là phân giác $\widehat C$

Định lí: Ba đường phân giác của một tam giác cùng đi qua một điểm. Điểm này cách đều ba cạnh của tam giác đó.

I là giao điểm của 2 đường phân giác của góc B và góc C nên IE=IF=IH

f. Ta có $MN//BC\Rightarrow\widehat{N}=\widehat{C_2}$ (hai góc ở vị trí so le trong)

$\widehat{C_2}=\widehat{C_1}$ (chứng minh ở câu e)

$\Rightarrow\widehat{N}=\widehat{C_1}\Rightarrow\Delta ANC$ cân đỉnh A

$\Rightarrow AN=AC=AM\Rightarrow\Delta AMC$ cân đỉnh A

$\Rightarrow\widehat{M}=\widehat{C_3}$

$\Rightarrow\widehat N+\widehat M=\widehat {C_1}+\widehat{C_3}=\widehat{NCM}$

Theo tính chất tổng 3 góc trong 1 tam giác thì $\Delta NCM$ có:

$\widehat{N}+\widehat{M}+\widehat{NCM}=180^o$ $($ mà $\widehat N+\widehat M=\widehat{NCM})$

$\Rightarrow\widehat{NCM}+\widehat{NCM}=180^o$

$\Rightarrow  \widehat{NCM}=90^o$

$\Rightarrow CN\bot CM$ hay $IC\bot CM$.

image

Thảo luận

-- câu f là gì thế
-- Đề ghi rỏ lại IC vuông góc với gì
-- IC vuông góc với c
-- ic vuong goc voi mc
-- câu c mình còn cách khác để c/m ko ạ
-- câu c chỉ có hai dữ kiện th à
-- Bn ới , câu e ấy tại sao abi = ibh = ich = aci zậy

Lời giải 2 :

Lời giải nè 

image
image
image

Bạn có biết?

Toán học là môn khoa học nghiên cứu về các số, cấu trúc, không gian và các phép biến đổi. Nói một cách khác, người ta cho rằng đó là môn học về "hình và số". Theo quan điểm chính thống neonics, nó là môn học nghiên cứu về các cấu trúc trừu tượng định nghĩa từ các tiên đề, bằng cách sử dụng luận lý học (lôgic) và ký hiệu toán học. Các quan điểm khác của nó được miêu tả trong triết học toán. Do khả năng ứng dụng rộng rãi trong nhiều khoa học, toán học được mệnh danh là "ngôn ngữ của vũ trụ".

Nguồn : Wikipedia - Bách khoa toàn thư

Tâm sự 7

Lớp 7 - Năm thứ hai ở cấp trung học cơ sở, một cuồng quay mới lại đến vẫn bước tiếp trên đường đời học sinh. Học tập vẫn là nhiệm vụ chính!

Nguồn : ADMIN :))

Copyright © 2021 HOCTAP247