Trang chủ Vật Lý Lớp 9 Giup với . Không ai chịu giúp cả, hơn 2...

Giup với . Không ai chịu giúp cả, hơn 2 tiếng rồi :(Câu 4 (2 điểm) Trình bày phương án xác định giá trị của một điện trở R. Dụng cụ: 1 vôn kế, 1 ampe kế, 1 ngu

Câu hỏi :

Giup với . Không ai chịu giúp cả, hơn 2 tiếng rồi :(

image

Lời giải 1 :

Đáp án + giải thích các bước giải : 

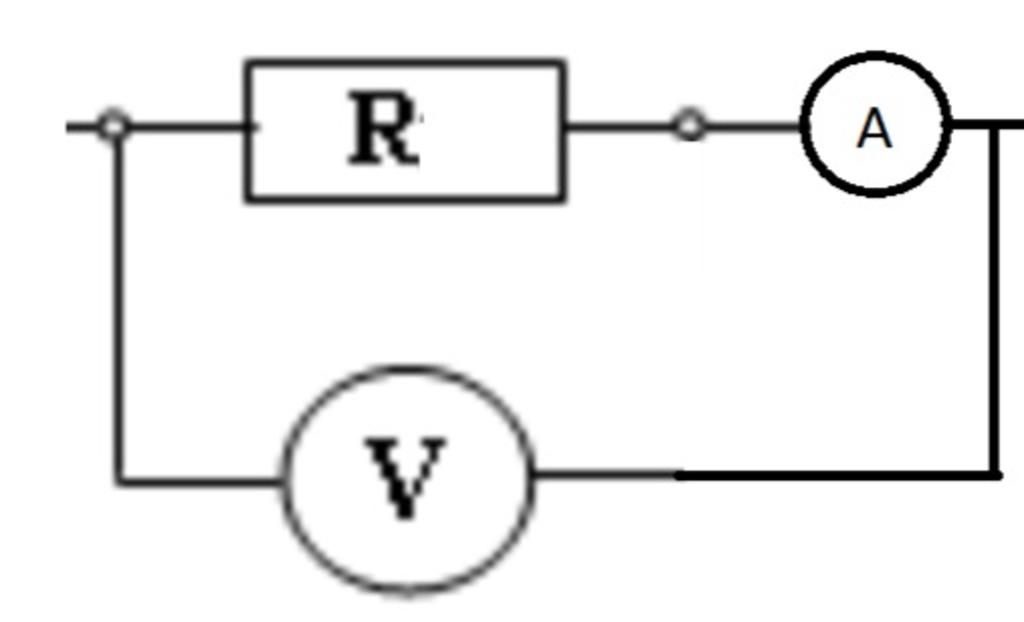
$\\$ $\bullet$ B1 : Chưa mắc Ampe kế vào mạch, mắc Vôn kế `////R` (hình 1)

$\\$` ->` Ta đo được `U` toàn mạch (không đổi) 

$\\$ $\bullet$ B2: Tiếp theo, mắc Ampe kế nối tiếp với `R////` vôn kế (hình2) 

$\\$ Đọc số chỉ của vôn kế, lấy `U - U_v = U_A`

$\\$ Đọc số chỉ của Ampe kế `I_A`

$\\$` ->` Tính điện trở của Ampe kế : `R_A = U_A/I_A`

$\\$ $\bullet$ B3: Mắc Ampe kế nối tiếp với điện trở `R` (hình 3)

$\\$ Đọc số chỉ của Ampe kế `A -> I_A' `

$\\$ `->` Tính giá trị cụm `R; R_A` 

$\\$ `Ta có : R_(RA) = U/(I_A') `

$\\$ `Mà : R + R_A = R_(RA) `

$\\$` => R = R_(RA) - R_A ` (Điện trở của Ampe kế tính ở B2)

$\\$ $\bullet$ Từ các bước trên, ta đã xác định được giá trị điện trở `R` với Vôn kế và Ampe kế không lí tưởng.

 

image
image
image

Thảo luận

-- Pro........ cái avarta :))))))) tôi thích
-- hả ?
-- Nhìn cái đó quen quen ,;)
-- Ko có j đâu

Bạn có biết?

Vật lý học (tiếng Anh:physics, từ tiếng Hi Lạp cổ: φύσις có nghĩa là kiến thức về tự nhiên) là một môn khoa học tự nhiên tập trung vào sự nghiên cứu vật chất và chuyển động của nó trong không gian và thời gian, cùng với những khái niệm liên quan như năng lượng và lực.Vật lí học là một trong những bộ môn khoa học lâu đời nhất, với mục đích tìm hiểu sự vận động của vũ trụ.

Nguồn : Wikipedia - Bách khoa toàn thư

Tâm sự 9

Lớp 9 - Là năm cuối ở cấp trung học cơ sở, sắp phải bước vào một kì thi căng thẳng và sắp chia tay bạn bè, thầy cô và cả kì vọng của phụ huynh ngày càng lớn mang tên "Lên cấp 3". Thật là áp lực nhưng các em hãy cứ tự tin vào bản thân là sẻ vượt qua nhé!

Nguồn : ADMIN :))

Copyright © 2021 HOCTAP247