Trang chủ Hóa Học Lớp 11 Nêu CT tính liên kết pi trung bình Nếu liên...

Nêu CT tính liên kết pi trung bình Nếu liên kết pi trung bình = 1,75 hoặc 2,2 thì hỗn hợp gồm các chất hữu cơ nào câu hỏi 3212746 - hoctapsgk.com

Câu hỏi :

Nêu CT tính liên kết pi trung bình Nếu liên kết pi trung bình = 1,75 hoặc 2,2 thì hỗn hợp gồm các chất hữu cơ nào

Lời giải 1 :

Đáp án:

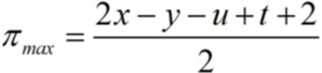
-Số liên kết  π hợp chất hữu cơ mạch hở A, công thức được kí hiệu là CxHy hoặc CxHyOz dựa vào mối liên quan của số mol CO2; H2O thu được khi đốt cháy A được tính theo công thức sau:

A là  CxHy hoặc CxHyOz  mạch hở, cháy cho n{CO2} – n{H2O} = k.nA   thì A có số  π=k+1

Lưu ý: Hợp chất CxHyOz có số[mình gửi ảnh]

Giải thích các bước giải:

 

image

Thảo luận

Bạn có biết?

Hóa học, một nhánh của khoa học tự nhiên, là ngành nghiên cứu về thành phần, cấu trúc, tính chất, và sự thay đổi của vật chất.Hóa học nói về các nguyên tố, hợp chất, nguyên tử, phân tử, và các phản ứng hóa học xảy ra giữa những thành phần đó.Hóa học đôi khi được gọi là "khoa học trung tâm" vì nó là cầu nối các ngành khoa học tự nhiên khác như vật lý học, địa chất học và sinh học.

Nguồn : Wikipedia - Bách khoa toàn thư

Tâm sự 11

Lớp 11 - Năm thứ hai ở cấp trung học phổ thông, gần đến năm cuối cấp nên học tập là nhiệm vụ quan trọng nhất. Nghe nhiều đến định hướng sau này rồi học đại học. Ôi nhiều lúc thật là sợ, hoang mang nhưng các em hãy tự tin và tìm dần điều mà mình muốn là trong tương lai nhé!

Nguồn : ADMIN :))

Copyright © 2021 HOCTAP247