Trang chủ Toán Học Lớp 8 có 1 bài ngắn thoi mà 50 điểm đó TvT...

có 1 bài ngắn thoi mà 50 điểm đó TvT giúp mik đi màaaaaa câu hỏi 3231635 - hoctapsgk.com

Câu hỏi :

có 1 bài ngắn thoi mà 50 điểm đó TvT giúp mik đi màaaaaa

image

Lời giải 1 :

Đáp án+Giải thích các bước giải:

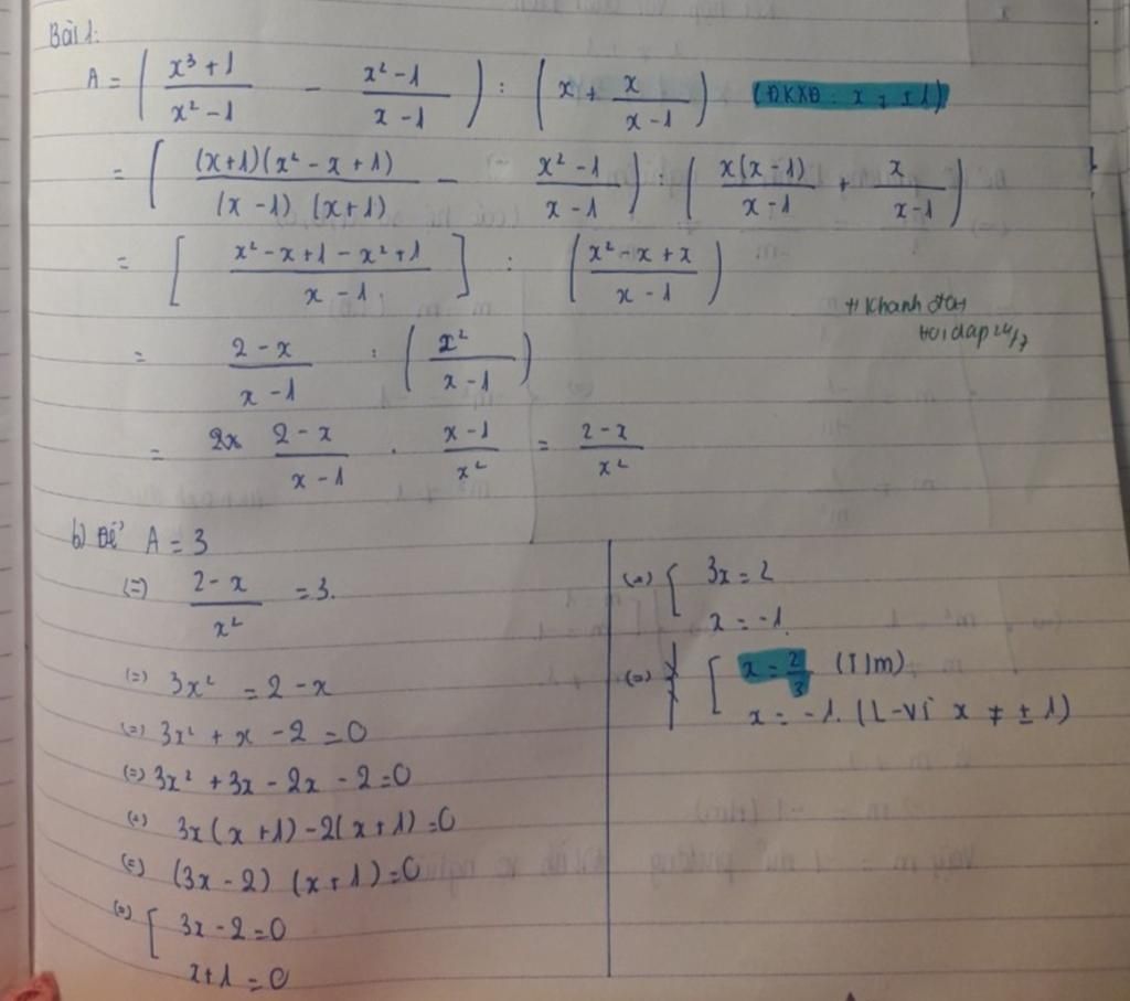
 `A=((x^3+1)/(x^2-1)-(x^2-1)/(x-1)):(x+x/(x-1)) (x \ne +-1)`

`=[[(x+1)(x^2-x+1)]/[(x+1)(x-1)]-(x^2-1)/(x-1)] : [[x(x-1)]/(x-1)+x/[x(x-1)]]`

`=((x^2-x+1)/(x-1) - (x^2-1)/(x-1)) : ((x^2-x)/(x-1)+x/(x-1))`

`=(x^2-x+1-x^2+1)/(x-1) : (x^2-x+x)/(x-1)`

`=(2-x)/(x-1) : x^2/(x-1)`

`=(2-x)/(x-1) . (x-1)/x^2`

`=(2-x)/x^2`

`b) A=3`

`<=> (2-x)/x^2=3`

`<=> 2-x=3x^2`

`<=> 3x^2+x-2=0`

`<=> 3x^2+3x-2x-2=0`

`<=> 3x(x+1)-2(x+1)=0`

`<=> (3x-2)(x+1)=0`

`<=> [(3x-2=0),(x+1=0):}`

`<=> [(3x=2),(x=-1):}`

`<=> [(x=2/3),(x=-1):}`

Loại trường hợp `x=-1` do không thỏa mãn điều kiện xác định.

Vậy `x=2/3`

`c)` Để `A \in ZZ`

`<=> 2-x \vdots x^2`

`<=> x(2-x) \vdots x^2`

`<=> 2x-x^2 \vdots x^2`

`<=> 2x \vdots x^2`

`<=> 2 \vdots x`

`<=> x \in Ư(2)={+-1;+-2}`

Loại `x=+-1` do không thỏa mãn điều kiện xác định.

Vậy `x \in {+-2}`

Thảo luận

-- ở ý `c` bước `2` sao bạn lại nhân `x` vào vế trái ạ ?
-- Để xuất hiện `x^2` nha
-- ủa thế nhân vô vế phải đồng thời cũng phải nhân cả ô vế trái chứ ?
-- Bạn chú ý đây là chia hết chứ k phải là đẳng thức ạ
-- vâng
-- có chắc là đúng ko bn câu a ấy vì sai câu a là sai cả bài luôn ă TvT
-- có nha :))
-- oki tks bn nhiều nhiều ><

Lời giải 2 :

Đáp án:

 Hình `!`

Giải thích các bước giải:

 

image
image

Bạn có biết?

Toán học là môn khoa học nghiên cứu về các số, cấu trúc, không gian và các phép biến đổi. Nói một cách khác, người ta cho rằng đó là môn học về "hình và số". Theo quan điểm chính thống neonics, nó là môn học nghiên cứu về các cấu trúc trừu tượng định nghĩa từ các tiên đề, bằng cách sử dụng luận lý học (lôgic) và ký hiệu toán học. Các quan điểm khác của nó được miêu tả trong triết học toán. Do khả năng ứng dụng rộng rãi trong nhiều khoa học, toán học được mệnh danh là "ngôn ngữ của vũ trụ".

Nguồn : Wikipedia - Bách khoa toàn thư

Tâm sự 8

Lớp 8 - Năm thứ ba ở cấp trung học cơ sở, học tập bắt đầu nặng dần, sang năm lại là năm cuối cấp áp lực lớn dần nhưng các em vẫn phải chú ý sức khỏe nhé!

Nguồn : ADMIN :))

Copyright © 2021 HOCTAP247