Trang chủ Toán Học Lớp 8 Mình cần gấp hứa vote 5 sao Thanks câu hỏi...

Mình cần gấp hứa vote 5 sao Thanks câu hỏi 3233196 - hoctapsgk.com

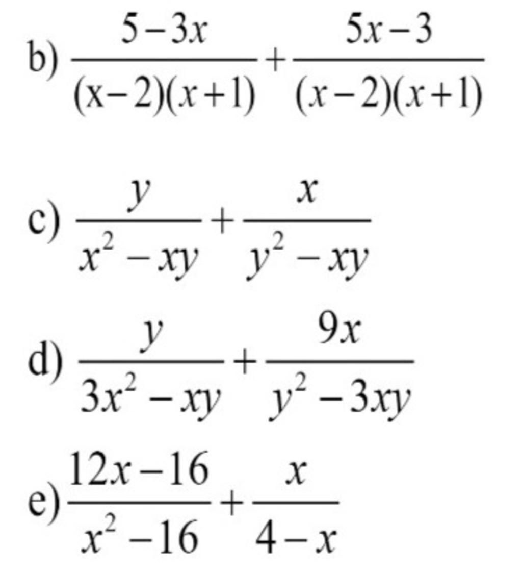
Câu hỏi :

Mình cần gấp hứa vote 5 sao Thanks

image

Lời giải 1 :

Đáp án:

 

Giải thích các bước giải:

 

image
image

Thảo luận

-- Bạn ơi câu `b` dòng cuối cùng hình như bạn hơi nhầm ạ
-- Mk sửa lại r nhé
-- Vừa sửa xong thì bn nhắn :))

Lời giải 2 :

Đáp án + Giải thích các bước giải:

 `b)`

`(5-3x)/((x-2)(x+1))+(5x-3)/((x-2)(x+1))`

`= (5-3x+5x-3)/((x-2)(x+1))`

`= (2x+2)/((x-2)(x+1))`

`= (2(x+1))/((x-2)(x+1))`

`= 2/(x-2)`

`c)`

`y/(x²-xy)+x/(y²-xy)`

`= y/(x(x-y))+x/(y(y-x))`

`= y/(x(x-y))-x/(y(x-y))`

`= (y²)/(xy(x-y))- (x²)/(xy(x-y))`

`= (y²-x²)/(xy(x-y))`

`= ((y-x)(x+y))/(xy(x-y))`

`= (-(x-y)(x+y))/(xy(x-y))`

`= (-(x+y))/(xy)`

`d)`

`y/(3x²-xy)+(9x)/(y²-3xy)`

`= y/(x(3x-y)+(9x)/(-y(3x-y))`

`= (y²)/(xy(3x-y))-(9x²)/(xy(3x-y))`

`= (y²-9x²)/(xy(3x-y))`

`= ((y-3x)(y+3x))/(xy(3x-y))`

`= (-(3x-y)(y+3x))/(xy(3x-y))`

`= (-(y+3x))/(xy)`

`e)`

`(12x-16)/(x²-16)+x/(4-x)`

`= (12x-16)/((x-4)(x+4))-x/(x-4)`

`= (12x-16)/((x-4)(x+4))-(x(x+4))/((x-4)(x+4))`

`= (12x-16-x²-4x)/((x-4)(x+4))`

`= (-(x²-8x+16))/((x-4)(x+4))`

`= (-(x-4)²)/((x-4)(x+4))`

`= (-(x-4))/((x+4)`

Bạn có biết?

Toán học là môn khoa học nghiên cứu về các số, cấu trúc, không gian và các phép biến đổi. Nói một cách khác, người ta cho rằng đó là môn học về "hình và số". Theo quan điểm chính thống neonics, nó là môn học nghiên cứu về các cấu trúc trừu tượng định nghĩa từ các tiên đề, bằng cách sử dụng luận lý học (lôgic) và ký hiệu toán học. Các quan điểm khác của nó được miêu tả trong triết học toán. Do khả năng ứng dụng rộng rãi trong nhiều khoa học, toán học được mệnh danh là "ngôn ngữ của vũ trụ".

Nguồn : Wikipedia - Bách khoa toàn thư

Tâm sự 8

Lớp 8 - Năm thứ ba ở cấp trung học cơ sở, học tập bắt đầu nặng dần, sang năm lại là năm cuối cấp áp lực lớn dần nhưng các em vẫn phải chú ý sức khỏe nhé!

Nguồn : ADMIN :))

Copyright © 2021 HOCTAP247