Trang chủ Toán Học Lớp 9 Một người đi xe máy từ A đến B cách...

Một người đi xe máy từ A đến B cách nhau 120 km với vận tốc dự định trước. Sau khi được 1/3 quãng đường AB người đó tăng vận tốc thêm 10 km/h trên quãng đường

Câu hỏi :

Một người đi xe máy từ A đến B cách nhau 120 km với vận tốc dự định trước. Sau khi được 1/3 quãng đường AB người đó tăng vận tốc thêm 10 km/h trên quãng đường còn lại.Tim vận tốc dự định và thời gian xe lăn bánh trên đường, biết rằng người đó đến B sớm hơn du định 24 phút.

Lời giải 1 :

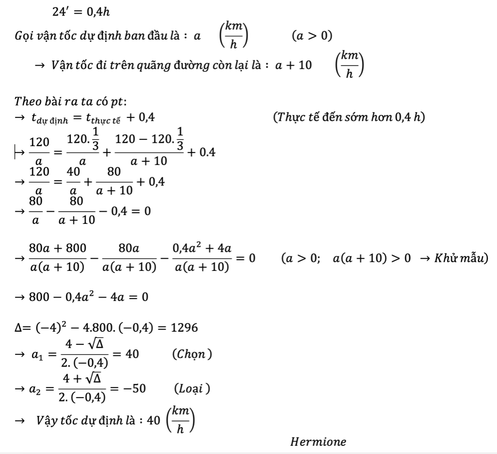
Bạn tham khảo bài.

 

image

Thảo luận

Lời giải 2 :

Đáp án:

 48,2 km/h

Giải thích các bước giải:

 Gọi vận tốc dự định: \(v\) (v>0)

Thời gian đi \(\frac{1}{3}\) quãng đường: \(\frac{\frac{1}{3}.120}{v}=\frac{40}{v}\)

Thời gian đi \(\frac{2}{3}\) quãng đường còn lại: \(\frac{\frac{2}{3}.120}{v+10}=\frac{80}{v+10}\).

Thời gian sớm hơn 24 phút: \(\frac{120}{v}-\frac{24}{60} =\frac{120}{v}-\frac{2}{5}\)

Ta có: \(\frac{40}{v}+\frac{80}{v+10}=\frac{120}{v}-\frac{2}{5}\)

\(\leftrightarrow 40.5.(v+10)+80.5.v-120.5.(v+10)+2v(v+10)=0\)

\(\leftrightarrow 2v^{2}+20v-5600=0\)

\(\leftrightarrow v=-5-5\sqrt{113} (loại) ; v=-5+5\sqrt{113} (nhận)\)

Vậy v=48,2 km/h

Bạn có biết?

Toán học là môn khoa học nghiên cứu về các số, cấu trúc, không gian và các phép biến đổi. Nói một cách khác, người ta cho rằng đó là môn học về "hình và số". Theo quan điểm chính thống neonics, nó là môn học nghiên cứu về các cấu trúc trừu tượng định nghĩa từ các tiên đề, bằng cách sử dụng luận lý học (lôgic) và ký hiệu toán học. Các quan điểm khác của nó được miêu tả trong triết học toán. Do khả năng ứng dụng rộng rãi trong nhiều khoa học, toán học được mệnh danh là "ngôn ngữ của vũ trụ".

Nguồn : Wikipedia - Bách khoa toàn thư

Tâm sự 9

Lớp 9 - Là năm cuối ở cấp trung học cơ sở, sắp phải bước vào một kì thi căng thẳng và sắp chia tay bạn bè, thầy cô và cả kì vọng của phụ huynh ngày càng lớn mang tên "Lên cấp 3". Thật là áp lực nhưng các em hãy cứ tự tin vào bản thân là sẻ vượt qua nhé!

Nguồn : ADMIN :))

Copyright © 2021 HOCTAP247