Trang chủ Toán Học Lớp 6 Tính nhanh: a,2020^0 + 1^2020 .(3^2 .3 – 2^4 :...

Tính nhanh: a,2020^0 + 1^2020 .(3^2 .3 – 2^4 : 8) b,2^2 .3^1 – (1^2020 + 2020^0 ) : |-2| c,{47 – [736 : (5 – 3) 4 ]}.2017 giúp mình với mình cần gấp ạ!Thanks

Câu hỏi :

Tính nhanh: a,2020^0 + 1^2020 .(3^2 .3 – 2^4 : 8) b,2^2 .3^1 – (1^2020 + 2020^0 ) : |-2| c,{47 – [736 : (5 – 3) 4 ]}.2017 giúp mình với mình cần gấp ạ!Thanks

Lời giải 1 :

a,2020^0 + 1^2020 .(3 2 .3 – 2 4 : 8)

=1+1.(3 2 .3 – 2 4 : 8)

=1+1.(6.3-24:8)

=1+1.(18-3)

=2.15

=30

b,2^2 .3^1 – (1^2020 + 2020^0 ) : |-2|

=4.3-(1+1):2

=4.3-2:2

=12-2:2

=10:2

=5

c,{47 – [736 : (5 – 3) 4 ]}.2017

={47 – [736 :2. 4 ]}.2017

={47 – [366.4]}.2017

={47 – 1464}.2017

=-1317.2017

=-2656389

Thảo luận

-- quá S
-- nam
-- uk
-- xin cái tên
-- Nguyễn Minh Đức
-- đang sống ở đâu đấy
-- Cầu Giấy Hà Nội
-- ko nhắn ak ban

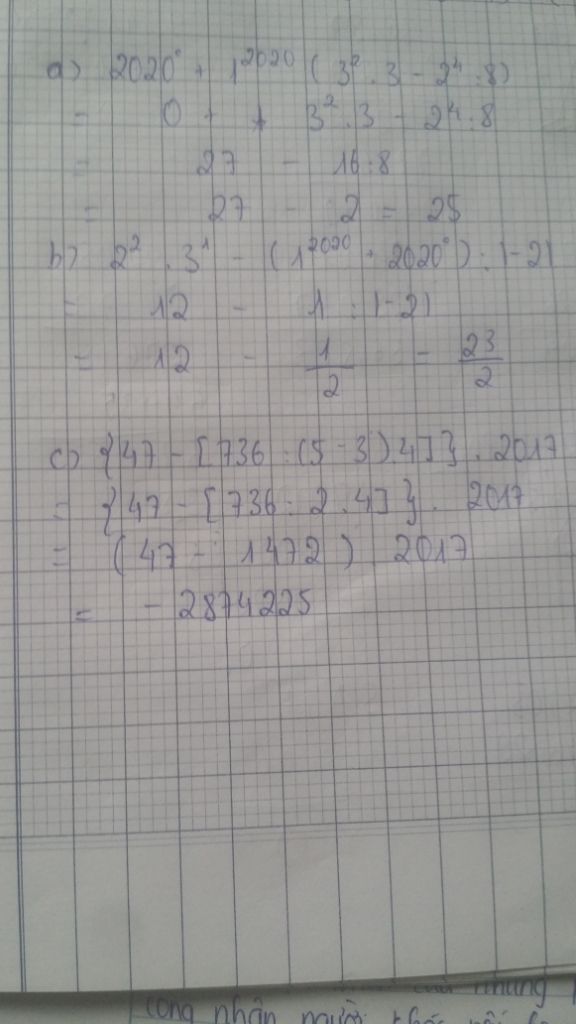
Lời giải 2 :

Đáp án:

Giải thích các bước giải:

 

image

Bạn có biết?

Toán học là môn khoa học nghiên cứu về các số, cấu trúc, không gian và các phép biến đổi. Nói một cách khác, người ta cho rằng đó là môn học về "hình và số". Theo quan điểm chính thống neonics, nó là môn học nghiên cứu về các cấu trúc trừu tượng định nghĩa từ các tiên đề, bằng cách sử dụng luận lý học (lôgic) và ký hiệu toán học. Các quan điểm khác của nó được miêu tả trong triết học toán. Do khả năng ứng dụng rộng rãi trong nhiều khoa học, toán học được mệnh danh là "ngôn ngữ của vũ trụ".

Nguồn : Wikipedia - Bách khoa toàn thư

Tâm sự 6

Lớp 6 - Là năm đầu tiên của cấp trung học cơ sở. Được sống lại những khỉ niệm như ngày nào còn lần đầu đến lớp 1, được quen bạn mới, ngôi trường mới, một tương lai mới!

Nguồn : ADMIN :))

Copyright © 2021 HOCTAP247