Trang chủ Toán Học Lớp 9 mọi người làm đầy đủ các bước giùm em cho...

mọi người làm đầy đủ các bước giùm em cho hệ phương trình { 3x+(m-1)y=12 (m-1)x+12y=24 a) tìm m để hệ có nghiệm đuy nh

Câu hỏi :

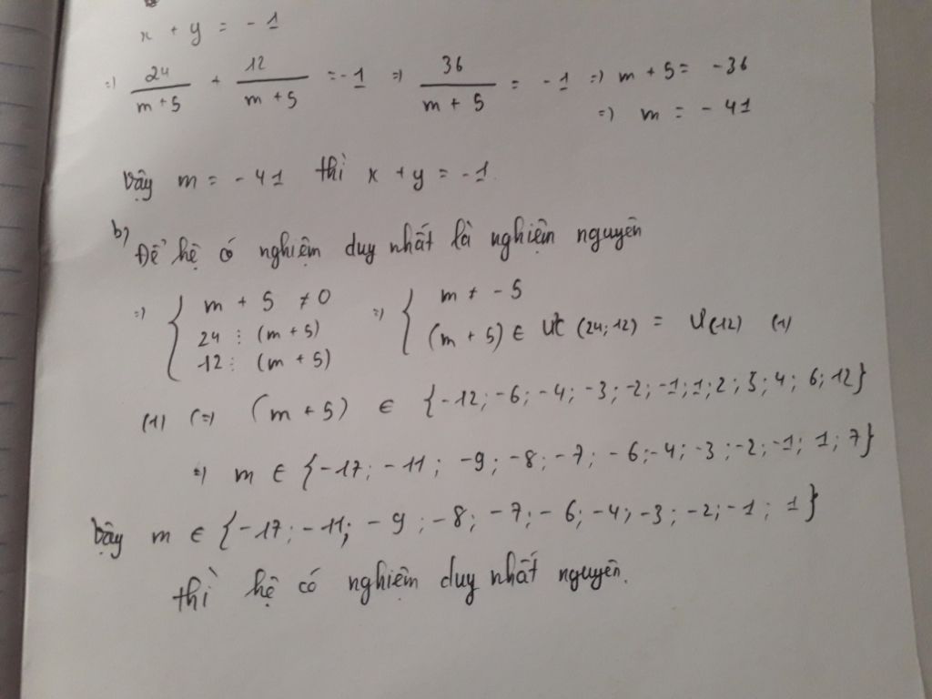
mọi người làm đầy đủ các bước giùm em cho hệ phương trình { 3x+(m-1)y=12 (m-1)x+12y=24 a) tìm m để hệ có nghiệm đuy nhất thỏa mãn x+y=-1 b) tìm m nguyên để hệ có nghiệm duy nhất là nghiệm nguyên

Lời giải 1 :

Đáp án:

 CHÚC BẠN HỌC TỐT!!!!!!

Giải thích các bước giải:

 

image
image

Thảo luận

-- mik cũg chúc bn học tốt
-- anh/chị giúp em câu hỏi em mới đăng với ạ
-- câu j
-- thế h mình cho ai hay nhất
-- Bạn xem coi ai đúng đã
-- mình biết thì mình đâu có hỏi đâu
-- đúng đó

Lời giải 2 :

Đáp án:Đây nhé

 

Giải thích các bước giải:

 

image

Bạn có biết?

Toán học là môn khoa học nghiên cứu về các số, cấu trúc, không gian và các phép biến đổi. Nói một cách khác, người ta cho rằng đó là môn học về "hình và số". Theo quan điểm chính thống neonics, nó là môn học nghiên cứu về các cấu trúc trừu tượng định nghĩa từ các tiên đề, bằng cách sử dụng luận lý học (lôgic) và ký hiệu toán học. Các quan điểm khác của nó được miêu tả trong triết học toán. Do khả năng ứng dụng rộng rãi trong nhiều khoa học, toán học được mệnh danh là "ngôn ngữ của vũ trụ".

Nguồn : Wikipedia - Bách khoa toàn thư

Tâm sự 9

Lớp 9 - Là năm cuối ở cấp trung học cơ sở, sắp phải bước vào một kì thi căng thẳng và sắp chia tay bạn bè, thầy cô và cả kì vọng của phụ huynh ngày càng lớn mang tên "Lên cấp 3". Thật là áp lực nhưng các em hãy cứ tự tin vào bản thân là sẻ vượt qua nhé!

Nguồn : ADMIN :))

Copyright © 2021 HOCTAP247