Trang chủ Toán Học Lớp 8 Ai đó giúp mình làm 4 câu này với (...

Ai đó giúp mình làm 4 câu này với ( làm ra vở rồi chụp ảnh cũng đc ) . Ai nhanh nhất tui tik hay nhất cho nha~~4 a) x-1 1-2 =-3 x-1 b) 3.x %3D x- 2 x+4 x+1 2x+

Câu hỏi :

Ai đó giúp mình làm 4 câu này với ( làm ra vở rồi chụp ảnh cũng đc ) . Ai nhanh nhất tui tik hay nhất cho nha~~

image

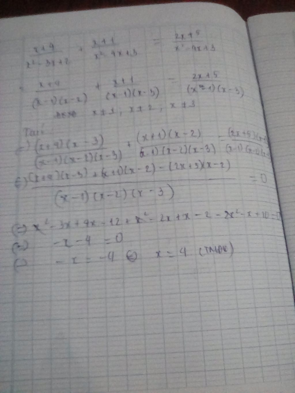
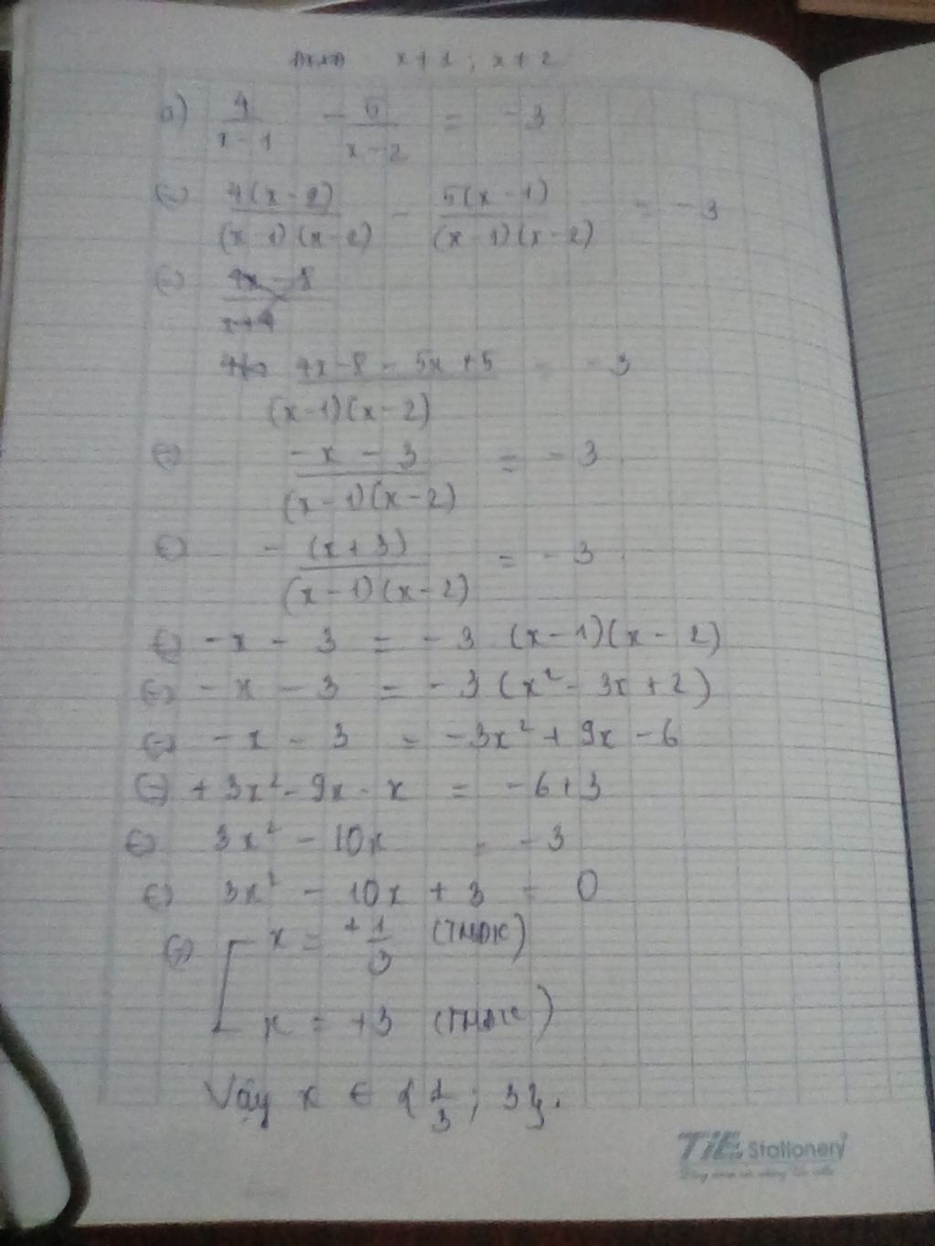
Lời giải 1 :

 

image
image

Thảo luận

-- thiếu nhé,
-- dài lắm chị -,- làm 1 câu nx nha chị
-- nhiều nhưng mà điểm cao mà bạn, mình thấy điểm cao nhưng mà nhiều mình cũng có làm đâu
-- Ok bạn bỏ báo cáo đi
-- mình lỡ rồi, hihi, cố gắng làm đủ nhé
-- Đạt ơi,dựa vào $ĐKXĐ$ loại $x=2$ đi nha °^°
-- :)) Trời cảm ơn chị -,- E bị ngáo sương sương, với lại nó k ghi đc từng dong, nó cứ ở giữa :))
-- Sửa thôi em XD thi thoảng bị lú ._. Chị cũng hay vậy lắm ~~

Lời giải 2 :

Đáp án:

 $\text{a,b,c,d từ trái qua phải nha bạn}$

Giải thích các bước giải:

 

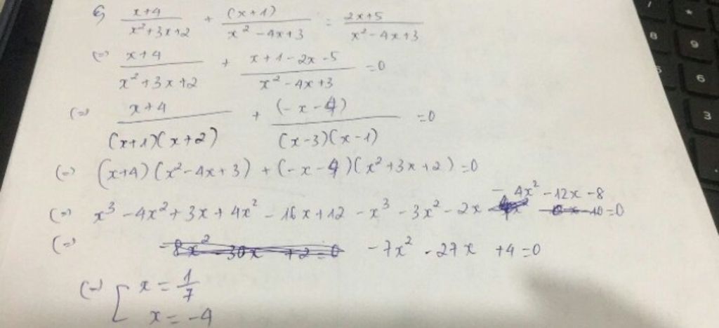
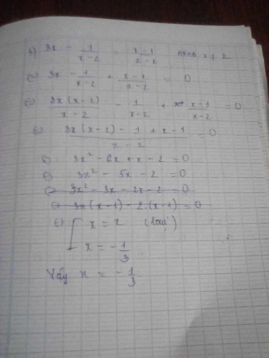
image
image
image
image

Bạn có biết?

Toán học là môn khoa học nghiên cứu về các số, cấu trúc, không gian và các phép biến đổi. Nói một cách khác, người ta cho rằng đó là môn học về "hình và số". Theo quan điểm chính thống neonics, nó là môn học nghiên cứu về các cấu trúc trừu tượng định nghĩa từ các tiên đề, bằng cách sử dụng luận lý học (lôgic) và ký hiệu toán học. Các quan điểm khác của nó được miêu tả trong triết học toán. Do khả năng ứng dụng rộng rãi trong nhiều khoa học, toán học được mệnh danh là "ngôn ngữ của vũ trụ".

Nguồn : Wikipedia - Bách khoa toàn thư

Tâm sự 8

Lớp 8 - Năm thứ ba ở cấp trung học cơ sở, học tập bắt đầu nặng dần, sang năm lại là năm cuối cấp áp lực lớn dần nhưng các em vẫn phải chú ý sức khỏe nhé!

Nguồn : ADMIN :))

Copyright © 2021 HOCTAP247