Trang chủ Hóa Học Lớp 8 giải giúp em vs................. câu hỏi 3336716 - hoctapsgk.com

giải giúp em vs................. câu hỏi 3336716 - hoctapsgk.com

Câu hỏi :

giải giúp em vs.................

image

Lời giải 1 :

Đáp án:

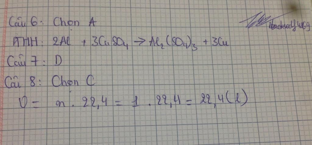
Bạn nhìn hình giùm mik nha :33

Chữ mik hơi xấu nên mong bạn thông cảm ._.

#blackwolf4869

 

image

Thảo luận

Lời giải 2 :

Đáp án:

 6 A

7 D

8 C

Giải thích các bước giải:

\(\begin{array}{l}
6)\\
2Al + 3CuS{O_4} \to A{l_2}{(S{O_4})_3} + 3Cu\\
 \Rightarrow a = 2;b = 3;c = 1;d = 3\\
8)\\
V = 1 \times 22,4 = 22,4l
\end{array}\)

Bạn có biết?

Hóa học, một nhánh của khoa học tự nhiên, là ngành nghiên cứu về thành phần, cấu trúc, tính chất, và sự thay đổi của vật chất.Hóa học nói về các nguyên tố, hợp chất, nguyên tử, phân tử, và các phản ứng hóa học xảy ra giữa những thành phần đó.Hóa học đôi khi được gọi là "khoa học trung tâm" vì nó là cầu nối các ngành khoa học tự nhiên khác như vật lý học, địa chất học và sinh học.

Nguồn : Wikipedia - Bách khoa toàn thư

Tâm sự 8

Lớp 8 - Năm thứ ba ở cấp trung học cơ sở, học tập bắt đầu nặng dần, sang năm lại là năm cuối cấp áp lực lớn dần nhưng các em vẫn phải chú ý sức khỏe nhé!

Nguồn : ADMIN :))

Copyright © 2021 HOCTAP247