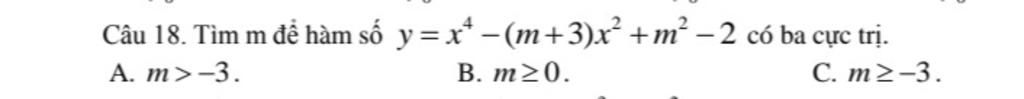
Trang chủ Toán Học Lớp 12 để hàm số y=x* –(m+3)x² +m² –2 có ba cực...

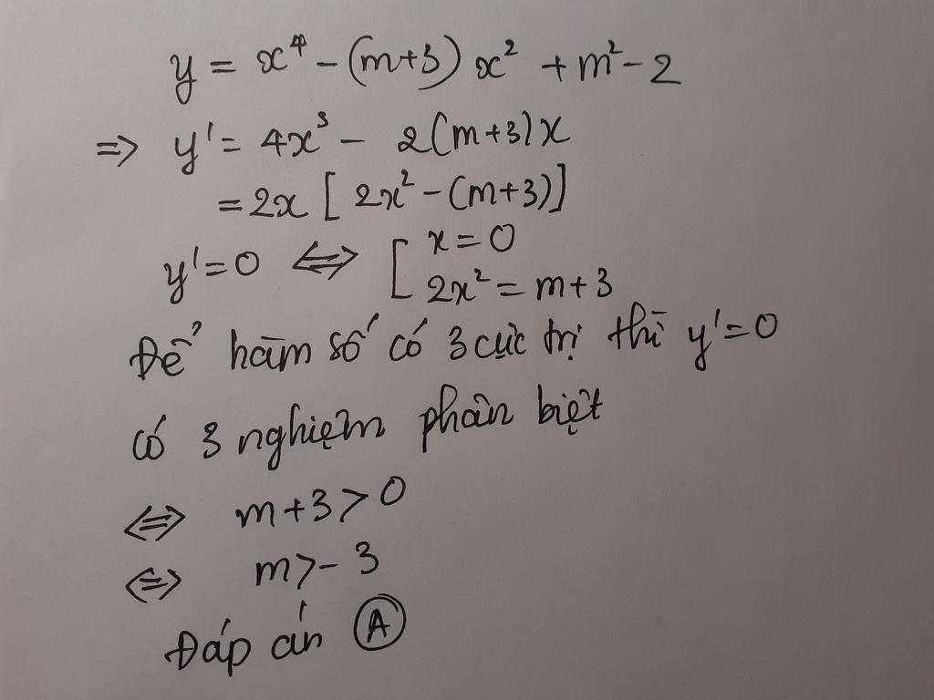
để hàm số y=x* –(m+3)x² +m² –2 có ba cực trị. В. т20. Câu 18. Tìm m А. т>-3. C. m2-3.

Câu hỏi :

Giải chi tiết giúp mk

image

Lời giải 1 :

Đáp án:

 

Giải thích các bước giải:

 

image

Thảo luận

-- anh ơi giúp e bài này đc hong ạ:((
-- https://hoidap247.com/cau-hoi/3339926
-- E xin cảm ơn anh nhiều:((
-- Mình thấy mấy bạn kia làm đúng mà, tính tổng ban đầu rồi trừ 2018
-- nhưng mà trên bảng là từ 1 đến 2019, mà tổng đó lớn hơn 2019 mà a
-- e thấy số đó sẽ ko thuộc dãy của đề bài
-- e vote xog mới để ý=((
-- Bạn thử xóa đi 2 số 2018 và 2019, thì số viết thêm vào là 2018+2019-1=4036 không thuộc dãy

Bạn có biết?

Toán học là môn khoa học nghiên cứu về các số, cấu trúc, không gian và các phép biến đổi. Nói một cách khác, người ta cho rằng đó là môn học về "hình và số". Theo quan điểm chính thống neonics, nó là môn học nghiên cứu về các cấu trúc trừu tượng định nghĩa từ các tiên đề, bằng cách sử dụng luận lý học (lôgic) và ký hiệu toán học. Các quan điểm khác của nó được miêu tả trong triết học toán. Do khả năng ứng dụng rộng rãi trong nhiều khoa học, toán học được mệnh danh là "ngôn ngữ của vũ trụ".

Nguồn : Wikipedia - Bách khoa toàn thư

Tâm sự 12

Lớp 12 - Năm cuối ở cấp tiểu học, năm học quan trọng nhất trong đời học sinh trải qua bao năm học tập, bao nhiêu kì vọng của người thân xung quanh ta. Những nỗi lo về thi đại học và định hướng tương lai thật là nặng. Hãy tin vào bản thân là mình sẽ làm được rồi tương lai mới chờ đợi các em!

Nguồn : ADMIN :))

Copyright © 2021 HOCTAP247