Trang chủ Toán Học Lớp 12 Câu 10: (1 điểm) Gho các số thực a, b,...

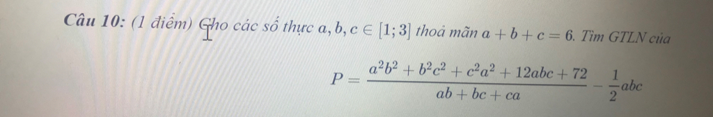
Câu 10: (1 điểm) Gho các số thực a, b, c E [1; 3] thoá mãn a + b+c= 6. Tim GTLN của a b? + 6?c2 + c2a2 + 12abc + 72 abc ab + bc + ca

Câu hỏi :

Toán 12 giúp e câu 10 với

image

Lời giải 1 :

Giải:

\[(a-1)(b-1)(c-1)\geq 0\Leftrightarrow (ab-a-b+1)(c-1)\geq 0\Leftrightarrow abc-ab-ac+a-bc+b+c-1\geq 0\Leftrightarrow abc\geq ab+bc+ac-5\]

\[(3-a)(3-b)(3-c)\geq 0\Leftrightarrow (9-3b-3a+ab)(3-c)\geq 0\Leftrightarrow 27-9c-9b-9a+3ac+3ab+3bc-abc\geq 0\Leftrightarrow 3ab+3bc+3ac\geq 27+abc\geq ab+bc+ac-5+27\Leftrightarrow ab+bc+ac\geq 11\]

\[P=\frac{\sum a^2b^2+12abc+72}{ab+bc+ac}-\frac{1}{2}abc\leq \frac{(ab+bc+ac)^2-12abc+12abc+72}{ab+bc+ac}-\frac{1}{2}(ab+bc+ac-5)=\frac{ab+bc+ac}{2}+\frac{72}{ab+bc+ac}+\frac{5}{2}=\frac{t}{2}+\frac{72}{t}+\frac{5}{2}(t=ab+bc+ac;t\geq 11)\]

Ta có: $t=ab+bc+ca\leq \dfrac{(a+b+c)^{2}}{3}=12\Rightarrow 11 \leq t\leq 12$

Xét hiệu: $\dfrac{t}{2}+\dfrac{72}{t}+\dfrac{5}{2}-\dfrac{160}{11}=\dfrac{(11t-144)(t-11)}{22t}\leq 0$

 $\Rightarrow Max_P=\dfrac{160}{11}$

Đẳng thức xảy ra $⇔(a;b;c)=(1;2;3)$ và hoán vị của chúng

$P/S:$ Bạn có thể giải theo cách sau:

Biến đổi BDT đã cho: $P=ab+bc+ca+\dfrac{72}{ab+bc+ca}-\dfrac{1}{2}abc$

Kết hợp giả thiết + BDT cosi 

\[P \leq t+\frac{72}{t}-\frac{1}{2}(t-5)=\frac{t}{2}+\frac{72}{t}+\frac{5}{2}(t=ab+ca+bc)\]

$→$ Bài toán quy về khảo sát hàm số

Thảo luận

Lời giải 2 :

Đáp án:

 

Giải thích các bước giải: 160/11

 

Bạn có biết?

Toán học là môn khoa học nghiên cứu về các số, cấu trúc, không gian và các phép biến đổi. Nói một cách khác, người ta cho rằng đó là môn học về "hình và số". Theo quan điểm chính thống neonics, nó là môn học nghiên cứu về các cấu trúc trừu tượng định nghĩa từ các tiên đề, bằng cách sử dụng luận lý học (lôgic) và ký hiệu toán học. Các quan điểm khác của nó được miêu tả trong triết học toán. Do khả năng ứng dụng rộng rãi trong nhiều khoa học, toán học được mệnh danh là "ngôn ngữ của vũ trụ".

Nguồn : Wikipedia - Bách khoa toàn thư

Tâm sự 12

Lớp 12 - Năm cuối ở cấp tiểu học, năm học quan trọng nhất trong đời học sinh trải qua bao năm học tập, bao nhiêu kì vọng của người thân xung quanh ta. Những nỗi lo về thi đại học và định hướng tương lai thật là nặng. Hãy tin vào bản thân là mình sẽ làm được rồi tương lai mới chờ đợi các em!

Nguồn : ADMIN :))

Copyright © 2021 HOCTAP247