Trang chủ Hóa Học Lớp 8 Cho 2(mol) BaO tác dụng hết với nước. Tính khối...

Cho 2(mol) BaO tác dụng hết với nước. Tính khối lượng và số phân tử của chất tạo thành sau phản ứng. Giúp với ạ câu hỏi 438627 - hoctapsgk.com

Câu hỏi :

Cho 2(mol) BaO tác dụng hết với nước. Tính khối lượng và số phân tử của chất tạo thành sau phản ứng. Giúp với ạ

Lời giải 1 :

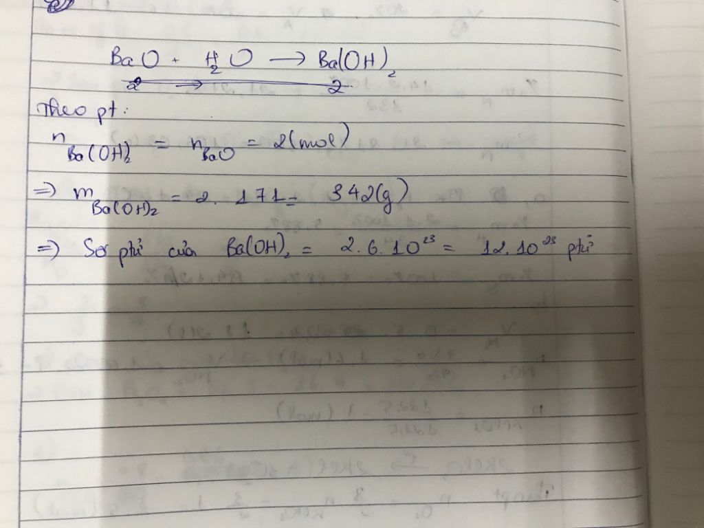
Đáp án:

 

Giải thích các bước giải:

 

image

Thảo luận

Lời giải 2 :

Đáp án:

M Ba(OH)2=171g/mol,m Ba(OH)2=34,2 g

Giải thích các bước giải:

 PTHH: BaO+H2O->Ba(OH)2

               0,2               0,2        mol

Theo PTHH ta có:

n Ba(OH)2=nBaO=0,2 mol

Ta có M Ba=137 g/mol

          M O=16g/mol

            M H=1 glmol

-> M Ba(OH)2=137+(16+1)*2=171 g/mol(M là nguyên tử khối nha bạn,nhưng do Ba(OH)2 là phân tử nên M Ba(OH)2 là phân tử khối của Ba(OH)2)

=>m Ba(OH)2=nBa(OH)2*M Ba(OH)2=0,2*171=34,2 g

Chúc bạn học tốt!!!

X

Bạn có biết?

Hóa học, một nhánh của khoa học tự nhiên, là ngành nghiên cứu về thành phần, cấu trúc, tính chất, và sự thay đổi của vật chất.Hóa học nói về các nguyên tố, hợp chất, nguyên tử, phân tử, và các phản ứng hóa học xảy ra giữa những thành phần đó.Hóa học đôi khi được gọi là "khoa học trung tâm" vì nó là cầu nối các ngành khoa học tự nhiên khác như vật lý học, địa chất học và sinh học.

Nguồn : Wikipedia - Bách khoa toàn thư

Tâm sự 8

Lớp 8 - Năm thứ ba ở cấp trung học cơ sở, học tập bắt đầu nặng dần, sang năm lại là năm cuối cấp áp lực lớn dần nhưng các em vẫn phải chú ý sức khỏe nhé!

Nguồn : ADMIN :))

Copyright © 2021 HOCTAP247