Trang chủ Toán Học Lớp 6 giúp mik làm hết nhé!! bài mik nhìu khoảng 29...

giúp mik làm hết nhé!! bài mik nhìu khoảng 29 trang, mik chia các đợt làm, hết giúp mik nha!!XIN CÁC BN Ạ!!CẢM ƠN Bài 1. Sắp xếp các số nguyên sau theo thứ tự

Câu hỏi :

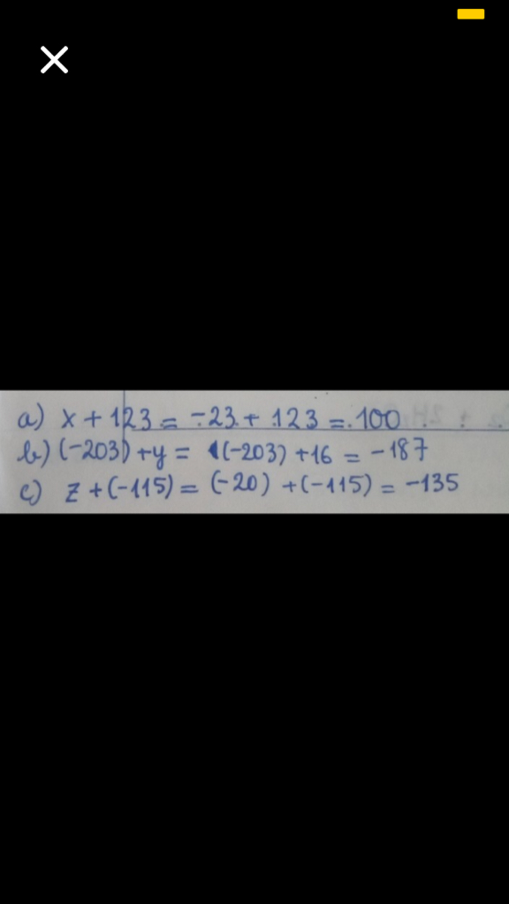
giúp mik làm hết nhé!! bài mik nhìu khoảng 29 trang, mik chia các đợt làm, hết giúp mik nha!!XIN CÁC BN Ạ!!CẢM ƠN Bài 1. Sắp xếp các số nguyên sau theo thứ tự giảm dần:-20;10;0;-3;-5;17 Bài 2. a) Tìm số đối của mỗi số nguyên sau: –298; 25; 0; –53; 71. b) Tìm số liền sau của mỗi số nguyên sau: –63; 0; 11; –27 c) Tìm số liền trước của mỗi số nguyên sau: –110; 99; –999; 1000; 0. Bài 2. Tính giá trị của các biểu thức a) x + 123 với x = –23 b) (–203) + y với y = 16 c) z + (–115) với z = –20 Bài 3. Hãy so sánh a) 801 + (–65) và 801 b) (–125) + 15 và (–125) c) (–123) + (–20) và (–123) d) 116 + (–20) và 116 Bài 4.Tính tổng của các số nguyên thỏa mãn: -2009<x<_ 2008 Bài 5. a) Viết mỗi số dưới đây dưới dạng tổng của hai số nguyên bằng nhau:86;-42;-2286;2008 b)Viết mỗi số dưới đây dưới dạng tổng của ba số nguyên bằng nhau: 33;-60;+3000;-369

Lời giải 1 :

Đáp án:

 

Giải thích các bước giải:

Bạn ơi, mình gửi nhé.( mình gửi hơi lộn xộn tí) mong bạn thông cảm

 

image
image
image
image
image

Thảo luận

-- bài 2 trang mâý zợ bn
-- Trang 1 ah
-- Có 2 bài 2 bạn ah
-- Nhiều thế

Bạn có biết?

Toán học là môn khoa học nghiên cứu về các số, cấu trúc, không gian và các phép biến đổi. Nói một cách khác, người ta cho rằng đó là môn học về "hình và số". Theo quan điểm chính thống neonics, nó là môn học nghiên cứu về các cấu trúc trừu tượng định nghĩa từ các tiên đề, bằng cách sử dụng luận lý học (lôgic) và ký hiệu toán học. Các quan điểm khác của nó được miêu tả trong triết học toán. Do khả năng ứng dụng rộng rãi trong nhiều khoa học, toán học được mệnh danh là "ngôn ngữ của vũ trụ".

Nguồn : Wikipedia - Bách khoa toàn thư

Tâm sự 6

Lớp 6 - Là năm đầu tiên của cấp trung học cơ sở. Được sống lại những khỉ niệm như ngày nào còn lần đầu đến lớp 1, được quen bạn mới, ngôi trường mới, một tương lai mới!

Nguồn : ADMIN :))

Copyright © 2021 HOCTAP247