Trang chủ Vật Lý Lớp 10 Một ô tô đang chạy thẳng đều với tốc độ...

Một ô tô đang chạy thẳng đều với tốc độ 40 km/h bỗng tăng ga chuyển động nhanh dần đều. tính gia tốc của xe và thời gian chuyển động biết sau khi chạy được quã

Câu hỏi :

Một ô tô đang chạy thẳng đều với tốc độ 40 km/h bỗng tăng ga chuyển động nhanh dần đều. tính gia tốc của xe và thời gian chuyển động biết sau khi chạy được quãng đường 1 km thì ô tô đạt tốc độ 60 km/ h

Lời giải 1 :

Đáp án:

em tham khảo nha

Ta có: \(a = \dfrac{{{v^2} - {v_0}^2}}{{2s}} = \dfrac{{{{60}^2} - {{40}^2}}}{{2.1}} = 1000(km/{h^2}).\)

\(t = \dfrac{{v - {v_0}}}{a} = \frac{{60 - 40}}{{1000}} = 0,02(h).\)

Thảo luận

Lời giải 2 :

Đáp án:

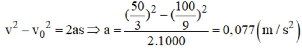
Ta có: vo = 40 km/h = 100/9 m/s; s = 1 km = 1000 m; v = 60 km/h = 50/3 m/s

Áp dụng công thức liên hệ gia tốc, vận tốc và quãng đường.

Ta có gia tốc của xe được tính bằng công thức:

image

Bạn có biết?

Vật lý học (tiếng Anh:physics, từ tiếng Hi Lạp cổ: φύσις có nghĩa là kiến thức về tự nhiên) là một môn khoa học tự nhiên tập trung vào sự nghiên cứu vật chất và chuyển động của nó trong không gian và thời gian, cùng với những khái niệm liên quan như năng lượng và lực.Vật lí học là một trong những bộ môn khoa học lâu đời nhất, với mục đích tìm hiểu sự vận động của vũ trụ.

Nguồn : Wikipedia - Bách khoa toàn thư

Tâm sự 10

Lớp 10 - Năm thứ nhất ở cấp trung học phổ thông, năm đầu tiên nên có nhiều bạn bè mới đến từ những nơi xa hơn vì ngôi trường mới lại mỗi lúc lại xa nhà mình hơn. Được biết bên ngoài kia là một thế giới mới to và nhiều điều thú vị, một trang mới đang chò đợi chúng ta.

Nguồn : ADMIN :))

Copyright © 2021 HOCTAP247