Trang chủ Toán Học Lớp 9 Bài 1 (2,0 điểm) Cho hàm số có đồ thị...

Bài 1 (2,0 điểm) Cho hàm số có đồ thị (P). a) Vẽ đồ thị (P) của hàm số. b) Tìm tọa độ giao điểm của đồ thị (P) và đường thẳng d có phương trình y = x + 4. Bài

Câu hỏi :

Bài 1 (2,0 điểm) Cho hàm số có đồ thị (P). a) Vẽ đồ thị (P) của hàm số. b) Tìm tọa độ giao điểm của đồ thị (P) và đường thẳng d có phương trình y = x + 4. Bài 2 (2,5 điểm) Cho phương trình x2 - 2mx +2m - 2 = 0 (1), (m là tham số). a) Giải phương trình (1) khi m = 1. b) Chứng minh phương trình (1) luôn có hai nghiệm x1, x2. Với các giá trị nào của tham số m thì x12 + x22 = 12. c) Với x1, x2 là hai nghiệm phương trình (1), tìm giá trị lớn nhất của biểu thức: Bài 3 (2,0 điểm) a) Giải phương trình b) Giải phương trình Bài 4 (3,5 điểm) Cho tam giác ABC có góc ACB tù, H là chân đường cao vẽ từ A. Đường tròn đường kính BH cắt AB tại điểm thứ hai là D. Đường tròn đường kính CH cắt AC tại điểm thứ hai là E. a) Chứng minh tứ giác ADEH là tứ giác nội tiếp. b) Chứng minh góc EBH = góc EDC. c) Cho BH = , CH = a, góc ABC = 45o. Tính diện tích hình quạt tròn giới hạn bởi cung EC và hai bán kính đi qua E và C của đường tròn đường kính CH. giúp!!!!

Lời giải 1 :

Đáp án:1a

 

Giải thích các bước giải:

 

image

Thảo luận

Lời giải 2 :

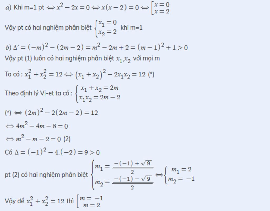
Đáp án:b2 a,b

 

Giải thích các bước giải:

 

image

Bạn có biết?

Toán học là môn khoa học nghiên cứu về các số, cấu trúc, không gian và các phép biến đổi. Nói một cách khác, người ta cho rằng đó là môn học về "hình và số". Theo quan điểm chính thống neonics, nó là môn học nghiên cứu về các cấu trúc trừu tượng định nghĩa từ các tiên đề, bằng cách sử dụng luận lý học (lôgic) và ký hiệu toán học. Các quan điểm khác của nó được miêu tả trong triết học toán. Do khả năng ứng dụng rộng rãi trong nhiều khoa học, toán học được mệnh danh là "ngôn ngữ của vũ trụ".

Nguồn : Wikipedia - Bách khoa toàn thư

Tâm sự 9

Lớp 9 - Là năm cuối ở cấp trung học cơ sở, sắp phải bước vào một kì thi căng thẳng và sắp chia tay bạn bè, thầy cô và cả kì vọng của phụ huynh ngày càng lớn mang tên "Lên cấp 3". Thật là áp lực nhưng các em hãy cứ tự tin vào bản thân là sẻ vượt qua nhé!

Nguồn : ADMIN :))

Copyright © 2021 HOCTAP247