Trang chủ Hóa Học Lớp 11 Bài 4: Đốt cháy hoàn toàn 4,48 lít hỗn hợp...

Bài 4: Đốt cháy hoàn toàn 4,48 lít hỗn hợp gồm eten và propen, sau phản ứng thu được 11,2 lít CO2 (đktc). Tính thành phần phần trăm theo thể tích của mỗi anken

Câu hỏi :

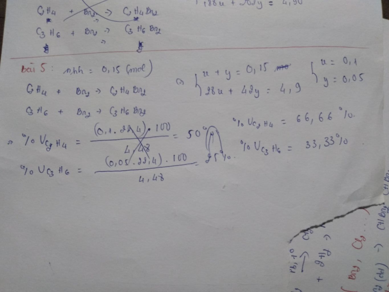
Bài 4: Đốt cháy hoàn toàn 4,48 lít hỗn hợp gồm eten và propen, sau phản ứng thu được 11,2 lít CO2 (đktc). Tính thành phần phần trăm theo thể tích của mỗi anken trong hỗn hợp ban đầu? Bài 5: Dẫn từ từ 3,36 lít hỗn hợp gồm etilen và propilen (đktc) vào dung dịch brom thấy dung dịch bị nhạt màu và không có khí thoát ra. Khối lượng dung dịch sau phản ứng tăng 4,90 gam. Viết phương trình hóa học đã xảy ra. Tính thành phần phần trăm về thể tích của mỗi khí trong hỗn hợp ban đầu.

Lời giải 1 :

Đáp án: xem hình nha bạn

 

Giải thích các bước giải: mục tiêu là lập hệ 2 phương trình 2 ẩn về số mol và một thứ gì mà đề bài cho rồi tìm được số mol của 2 chất khí và tính %V

 

image
image

Thảo luận

Lời giải 2 :

Đáp án:

 

Giải thích các bước giải:

 

image
image

Bạn có biết?

Hóa học, một nhánh của khoa học tự nhiên, là ngành nghiên cứu về thành phần, cấu trúc, tính chất, và sự thay đổi của vật chất.Hóa học nói về các nguyên tố, hợp chất, nguyên tử, phân tử, và các phản ứng hóa học xảy ra giữa những thành phần đó.Hóa học đôi khi được gọi là "khoa học trung tâm" vì nó là cầu nối các ngành khoa học tự nhiên khác như vật lý học, địa chất học và sinh học.

Nguồn : Wikipedia - Bách khoa toàn thư

Tâm sự 11

Lớp 11 - Năm thứ hai ở cấp trung học phổ thông, gần đến năm cuối cấp nên học tập là nhiệm vụ quan trọng nhất. Nghe nhiều đến định hướng sau này rồi học đại học. Ôi nhiều lúc thật là sợ, hoang mang nhưng các em hãy tự tin và tìm dần điều mà mình muốn là trong tương lai nhé!

Nguồn : ADMIN :))

Copyright © 2021 HOCTAP247