Trang chủ Toán Học Lớp 7 Câu 1: Cho đa thức A = 3$x^2$y+2,5x$y^2$+4$x^2$y-3,5x$y^2$ a) Thu...

Câu 1: Cho đa thức A = 3$x^2$y+2,5x$y^2$+4$x^2$y-3,5x$y^2$ a) Thu gọn A. b) Tìm bậc của A. c) Tính giá trị của A tại: x =$\frac{-1}{7}$ ,y = 14.

Câu hỏi :

Câu 1: Cho đa thức A = 3$x^2$y+2,5x$y^2$+4$x^2$y-3,5x$y^2$ a) Thu gọn A. b) Tìm bậc của A. c) Tính giá trị của A tại: x =$\frac{-1}{7}$ ,y = 14.

Lời giải 1 :

Đáp án:

 a)A=3x^2y+2,5xy^2+4x^2y-3,5xy^

=xy(3x+2,5y+4x-3,5y)

=xy(7x-y)

b)A là đa thức bậc 1 do các đơn thức ko có mũ.

c)A=xy(7x-y)

Thay x=-1/7 và y=14 vào đa thức A, ta được:

A=-1/7×14(7×-1/4-14)

=-2(-1-14)

=-2×(-15)

=30

Vậy giá trị của A=30 khi x=-1/7 và y=14.

Giải thích các bước giải:

a) lấy xy làm nhân tử chung trong ngoặc lấy các đơn thức đã cho chia cho xy.

Xong rồi cộng trừ các đơn thức đồng dạng

Thảo luận

-- Cho mik 5 sao và cái cám ơn nhe
-- Và cái tlhn nữa nha
-- Bn giải thik hộ mik ở câu a thườn thì ngta sẽ viết phần trc phần hệ số

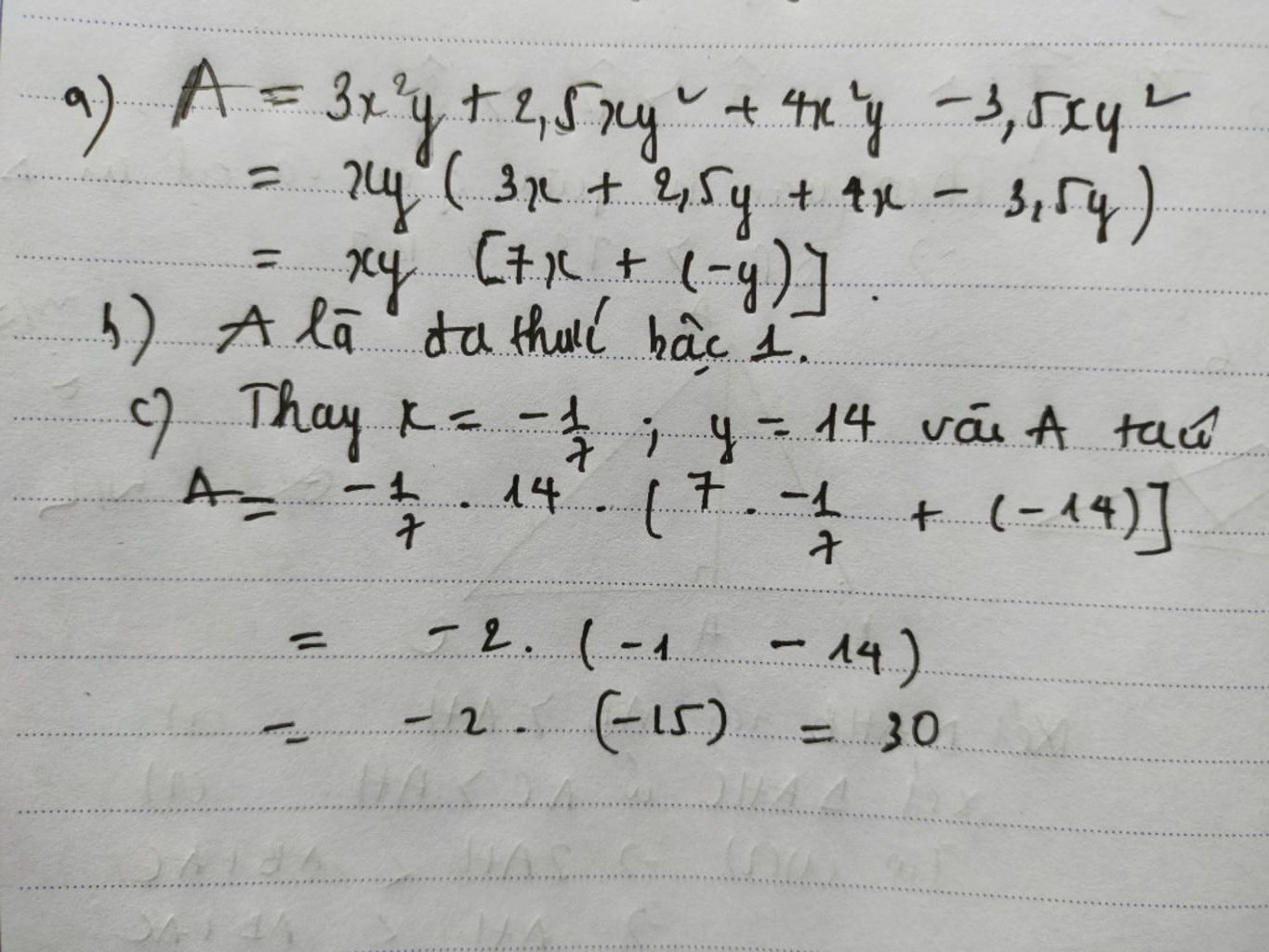
Lời giải 2 :

Đáp án:

 

Giải thích các bước giải:

 

image

Bạn có biết?

Toán học là môn khoa học nghiên cứu về các số, cấu trúc, không gian và các phép biến đổi. Nói một cách khác, người ta cho rằng đó là môn học về "hình và số". Theo quan điểm chính thống neonics, nó là môn học nghiên cứu về các cấu trúc trừu tượng định nghĩa từ các tiên đề, bằng cách sử dụng luận lý học (lôgic) và ký hiệu toán học. Các quan điểm khác của nó được miêu tả trong triết học toán. Do khả năng ứng dụng rộng rãi trong nhiều khoa học, toán học được mệnh danh là "ngôn ngữ của vũ trụ".

Nguồn : Wikipedia - Bách khoa toàn thư

Tâm sự 7

Lớp 7 - Năm thứ hai ở cấp trung học cơ sở, một cuồng quay mới lại đến vẫn bước tiếp trên đường đời học sinh. Học tập vẫn là nhiệm vụ chính!

Nguồn : ADMIN :))

Copyright © 2021 HOCTAP247