Trang chủ Hóa Học Lớp 8 LẬP PHƯƠNG TRÌNH HÓA HỌC SAU: Ca(OH)2 + H3PO4----->Ca3(PO4)2 +...

LẬP PHƯƠNG TRÌNH HÓA HỌC SAU: Ca(OH)2 + H3PO4----->Ca3(PO4)2 + H2O Fe2(OH)2 + 02 + H2O------>Fe(OH)3 giải giúp mình với ạ. Hết lun ạ bao gồm hìnhBài 2 (1,5 diể

Câu hỏi :

LẬP PHƯƠNG TRÌNH HÓA HỌC SAU: Ca(OH)2 + H3PO4----->Ca3(PO4)2 + H2O Fe2(OH)2 + 02 + H2O------>Fe(OH)3 giải giúp mình với ạ. Hết lun ạ bao gồm hình

image

Lời giải 1 :

Bài 1:

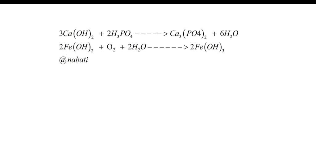
- `3Ca(OH)_2``+``2H_3``PO_4``→``Ca_3(PO_4)_2``+``6H_2O`

- `4Fe(OH)_2``+``O_2``+``2H_2O``→``4Fe(OH)_3`

Bài 2:

-Ta có:`M_S``=``32` `(g``/``mol)`

           `M_O``=``16` `(g``/``mol)`

           `Mhh``=``48` `(g``/``mol)`

-Phần trăm của lưu huỳnh có trong hợp chất là:

           `%_S``=``100%``-``33,33%``=``66,67%`

-Số mol của mỗi chất có trong hỗn hợp là:

           `n_S``=``\frac{%_S.Mhh}{M_S}``=``\frac{66,67%.48}{32}``≈``1` `(mol)`

           `n_O``=``\frac{%_O.Mhh}{M_O}``=``\frac{33,33%.48}{16}``≈``1` `(mol)`

`→``CTHH` của hợp chất là `SO`  

Thảo luận

-- Sao mời z
-- You đó bảo
-- Cứ hnao chả z ;-;
-- ;;-;;
-- V tự rời nhanh ko chỉ thích bị kick =VVVV

Lời giải 2 :

 Câu 2 sai mình sửa đề lại,vì OH có hóa trị I

image

Bạn có biết?

Hóa học, một nhánh của khoa học tự nhiên, là ngành nghiên cứu về thành phần, cấu trúc, tính chất, và sự thay đổi của vật chất.Hóa học nói về các nguyên tố, hợp chất, nguyên tử, phân tử, và các phản ứng hóa học xảy ra giữa những thành phần đó.Hóa học đôi khi được gọi là "khoa học trung tâm" vì nó là cầu nối các ngành khoa học tự nhiên khác như vật lý học, địa chất học và sinh học.

Nguồn : Wikipedia - Bách khoa toàn thư

Tâm sự 8

Lớp 8 - Năm thứ ba ở cấp trung học cơ sở, học tập bắt đầu nặng dần, sang năm lại là năm cuối cấp áp lực lớn dần nhưng các em vẫn phải chú ý sức khỏe nhé!

Nguồn : ADMIN :))

Copyright © 2021 HOCTAP247