Trang chủ Toán Học Lớp 10 Bài 3. (1,0 điểm) Giải phương trình 2x2 + 3x...

Bài 3. (1,0 điểm) Giải phương trình 2x2 + 3x – 4 = (4x – 3) \3x –1. HÉT

Câu hỏi :

GIẢI KỈ SÍU NHA ĐỪNG NHANH QUÁ

image

Lời giải 1 :

$ĐK:x\ge\dfrac{1}{3}\\ \text{Đặt }t=\sqrt{3x-1}\ge0\\ \Leftrightarrow y^2=3x+1\\ \Leftrightarrow 2y^2-6y+2=0(1)\\ PT\Leftrightarrow 2x^2+3x-4=(4x-3)y\\ \Leftrightarrow 2x^2-4xy+3x+3y-4=0(2)\\ (1)+(2)=2x^2+2y^2-4xy-3y+3y-2=0\\ \Leftrightarrow 2(x-y)^2-3(x-y)-2=0\\ \Leftrightarrow (x-y-2)(2x-2y+1)=0\\ \text{Với }x-y-2=0\Leftrightarrow y=x-2\\ \Leftrightarrow sqrt{3x-1}=x-2\\ \Leftrightarrow x^2-7x+5=0(x\ge2)\\ \Leftrightarrow \left[ \begin{array}{l}x=\dfrac{7+\sqrt{29}}{2}(tm)\\x=\dfrac{7-\sqrt{29}}{2}(ktm)\end{array} \right. \\ \text{Với }2x-2y+1=0\Leftrightarrow 2y=2x+1\\ \Leftrightarrow 2\sqrt{3x-1}=2x+1\\ \Leftrightarrow 4(3x-1)=4x^2+4x+1\\ \Leftrightarrow 4x^2-8x+5=0(\text{vô nghiệm})\\ \Leftrightarrow x=\dfrac{7+\sqrt{29}}{2}$

Thảo luận

-- Lấy cái vế của (1) + vế của (2) á
-- à thay căn (3x-1)=y vào PT á
-- k cái gần đưa ra pt cuối ấy
-- chỗ lấy nhân tử chung
-- xong rùi bạn nhân với cái (4x-3) xong chuyển vế qua rút gọn thui
-- từ chờ mình mở câu hỏi cho bạn vào giải thích nha
-- Thì bạn coi như x-y=a thì nó sẽ thành 2a^2-3a-2=0 =>(a-2)(2a+1)=0(cái này dễ rùi :)))
-- https://hoidap247.com/cau-hoi/3500561

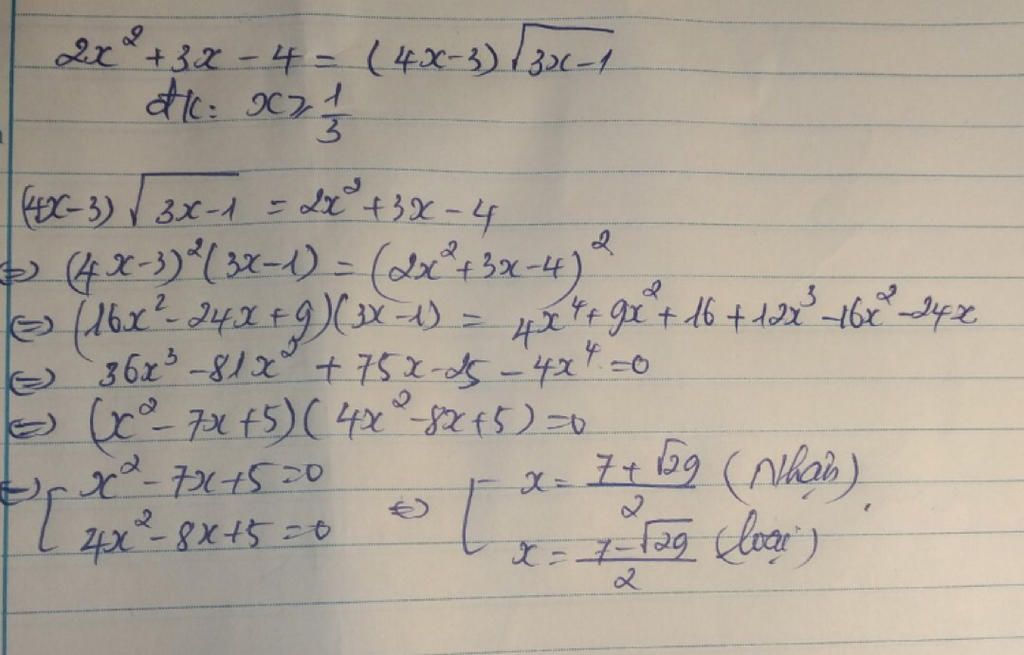
Lời giải 2 :

Đây nhé ạ
image

Bạn có biết?

Toán học là môn khoa học nghiên cứu về các số, cấu trúc, không gian và các phép biến đổi. Nói một cách khác, người ta cho rằng đó là môn học về "hình và số". Theo quan điểm chính thống neonics, nó là môn học nghiên cứu về các cấu trúc trừu tượng định nghĩa từ các tiên đề, bằng cách sử dụng luận lý học (lôgic) và ký hiệu toán học. Các quan điểm khác của nó được miêu tả trong triết học toán. Do khả năng ứng dụng rộng rãi trong nhiều khoa học, toán học được mệnh danh là "ngôn ngữ của vũ trụ".

Nguồn : Wikipedia - Bách khoa toàn thư

Tâm sự 10

Lớp 10 - Năm thứ nhất ở cấp trung học phổ thông, năm đầu tiên nên có nhiều bạn bè mới đến từ những nơi xa hơn vì ngôi trường mới lại mỗi lúc lại xa nhà mình hơn. Được biết bên ngoài kia là một thế giới mới to và nhiều điều thú vị, một trang mới đang chò đợi chúng ta.

Nguồn : ADMIN :))

Copyright © 2021 HOCTAP247