Trang chủ Toán Học Lớp 10 Bài ở trong hình là thuộc dạng gì vậy ạ....

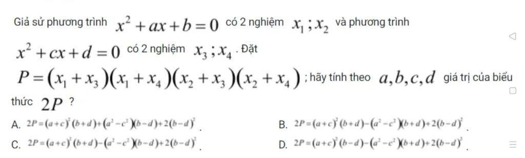
Bài ở trong hình là thuộc dạng gì vậy ạ. Nếu được cho mình xin các bài tương tự, mình cảm ơn ạ. K cần giải đâu ạGiả sử phương trình x + ax +b =0 có 2 nghiệm x,

Câu hỏi :

Bài ở trong hình là thuộc dạng gì vậy ạ. Nếu được cho mình xin các bài tương tự, mình cảm ơn ạ. K cần giải đâu ạ

image

Lời giải 1 :

Đáp án:

 

Giải thích các bước giải:

Ta có $ x_{1}^{2} = - (ax_{1} + b); x_{2}^{2} = - (ax_{2} + b)$

Nhóm 2 thừa số thứ nhất với thứ 2; thứ 3 với thứ 4 thì:

$ P = [(x_{1} + x_{3})(x_{1} + x_{4})].[(x_{2} + x_{3})(x_{2} + x_{4})]$

$ = [x_{1}^{2} + (x_{3} + x_{4})x_{1} + x_{3}x_{4}].[x_{2}^{2} + (x_{3} + x_{4})x_{2} + x_{3}x_{4}]$

$ = (- ax_{1} - b - cx_{1} + d)(- ax_{2} - b - cx_{2} + d)$

$ = [d - b - (a + c)x_{1}].[d - b - (a + c)x_{2}]$

$ = (b - d)^{2} + (a + c)(b - d)(x_{1} + x_{2}) + (a + c)^{2}x_{1}x_{2}$

$ = b(a + c)^{2} - a(a + c)(b - d) + (b - d)^{2} (1)$

Tương tự nếu nhóm thừa số thứ nhất với thứ 3; thứ 2 với thứ 4 thì:

$ P = [(x_{1} + x_{3})(x_{2} + x_{3})].[(x_{1} + x_{4})(x_{2} + x_{4})]$

$ = d(a + c)^{2} + c(a + c)(b - d) + (b - d)^{2} (2)$

$ (1) + (2) :$

$ 2P = (a + c)^{2}(b + d) - (a^{2} - c^{2})(b - d) + 2(b - d)^{2}$

Thảo luận

-- Thông thường chủ yếu là kỹ thuật hạ bậc
-- Vâng ạ, em làm cách cũng khá giống nhưng khúc cuối hơi vướng. Cách của mod hay lắm ạ :)))
-- Sao a nhớ lâu thật á. E thi c3 xong là 80% kiến thức ôn thi năm lớp 8 lớp 9 là quên sạch luôn._. H đưa bài cho e làm là e pk lật lại tài liệu xem lại cách giải:(
-- Lần thứ 2 a làm thơ, e nhớ có một lần trong một sự kiện a cx làm thơ nek . Lúc đó e nhắn hỏi a xong a bơ luôn:v
-- Hi hi...ai biểu ham chơi cho mau quên?
-- Mà lúc đó e nghĩ sẽ hỏi kĩ a, nên e ko chụp lại. H ms thấy lúc đó e sai lầm quá
-- YHĐ?
-- =="

Bạn có biết?

Toán học là môn khoa học nghiên cứu về các số, cấu trúc, không gian và các phép biến đổi. Nói một cách khác, người ta cho rằng đó là môn học về "hình và số". Theo quan điểm chính thống neonics, nó là môn học nghiên cứu về các cấu trúc trừu tượng định nghĩa từ các tiên đề, bằng cách sử dụng luận lý học (lôgic) và ký hiệu toán học. Các quan điểm khác của nó được miêu tả trong triết học toán. Do khả năng ứng dụng rộng rãi trong nhiều khoa học, toán học được mệnh danh là "ngôn ngữ của vũ trụ".

Nguồn : Wikipedia - Bách khoa toàn thư

Tâm sự 10

Lớp 10 - Năm thứ nhất ở cấp trung học phổ thông, năm đầu tiên nên có nhiều bạn bè mới đến từ những nơi xa hơn vì ngôi trường mới lại mỗi lúc lại xa nhà mình hơn. Được biết bên ngoài kia là một thế giới mới to và nhiều điều thú vị, một trang mới đang chò đợi chúng ta.

Nguồn : ADMIN :))

Copyright © 2021 HOCTAP247