Bài 1, 2, 3, 4, 5 trang 96 SGK Toán 2

Lý thuyết Bài tập

Tóm tắt bài

Đề bài

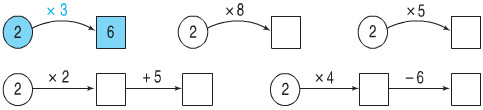
1. Số ?

2. Tính (theo mẫu):

2cm x 3 = 6cm                          2kg x 4 =

2cm x 5 =                                2kg x 6 = 

2dm x 8 =                                2kg x 9 =

3. Mỗi xe đạp có hai bánh xe. Hỏi 8 xe đạp có bao nhiêu bánh xe ?

4. Viết số thích hợp vào ô trống (theo mẫu):

5. Viết số thích hợp vào ô trống (theo mẫu):

Hướng dẫn giải

1.

2.

2cm x 3 = 6cm                                2kg x 4 = 8kg

2cm x 5 = 10cm                               2kg x 6 = 12kg 

2dm x 8 = 16cm                               2kg x 9 = 18kg

3.

Số bánh xe của 78 xe đạp là:

2 x 8 = 16 (bánh xe)

Đáp số: 16 bánh xe.

4.

5.

Copyright © 2021 HOCTAP247