Trang chủ Hóa Học Lớp 12 Câu 17: Hòa tan hoàn toàn 16,3 gam hỗn hợp...

Câu 17: Hòa tan hoàn toàn 16,3 gam hỗn hợp X gồm Mg, Al và Fe trong dung dịch H2SO4 đặc nóng thu được 0,55 mol SO2. Mặt khác, đốt cháy hoàn toàn lượng kim

Câu hỏi :

ai pro hóa giúp e câu 17 vs ạ

image

Lời giải 1 :

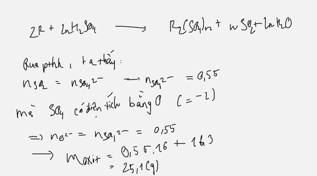
Bạn xem hình nhé :3

image

Thảo luận

-- còn thức ko bạn ?
-- :))))))))))

Lời giải 2 :

Đáp án:

 \(B\)

Giải thích các bước giải:

Câu này không đúng lắm vì đốt cháy \(Fe\) trong khí \(O_2\) thường chỉ tạo \(Fe_3O_4\) thôi mà lúc này thì không giải được.

 Sơ đồ:

\(\left\{ \begin{gathered}
  Mg \hfill \\
  Al \hfill \\
  Fe \hfill \\ 
\end{gathered}  \right.\xrightarrow{{{H_2}S{O_4},{t^o}}}\left\{ \begin{gathered}
  MgS{O_4} \hfill \\
  A{l_2}{(S{O_4})_3} \hfill \\
  F{e_2}{(S{O_4})_3} \hfill \\ 
\end{gathered}  \right. + S{O_2};\left\{ \begin{gathered}
  Mg \hfill \\
  Al \hfill \\
  Fe \hfill \\ 
\end{gathered}  \right.\xrightarrow{{{O_2},{t^o}}}\left\{ \begin{gathered}
  MgO \hfill \\
  A{l_2}{O_3} \hfill \\
  F{e_2}{O_3} \hfill \\ 
\end{gathered}  \right.\)

Bảo toàn e:

\(2{n_{Mg}} + 3{n_{Al}} + 3{n_{Fe}} = 2{n_{S{O_2}}} = 4{n_{{O_2}}} = 0,55.2 \to {n_{{O_2}}} = 0,275{\text{ mol}}\)

Bảo toàn khối lượng:

\(m = {m_{oxit}} = {m_{kl}} + {m_{{O_2}}} = 16,3 + 0,275.32 = 25,1{\text{ gam}}\)

Bạn có biết?

Hóa học, một nhánh của khoa học tự nhiên, là ngành nghiên cứu về thành phần, cấu trúc, tính chất, và sự thay đổi của vật chất.Hóa học nói về các nguyên tố, hợp chất, nguyên tử, phân tử, và các phản ứng hóa học xảy ra giữa những thành phần đó.Hóa học đôi khi được gọi là "khoa học trung tâm" vì nó là cầu nối các ngành khoa học tự nhiên khác như vật lý học, địa chất học và sinh học.

Nguồn : Wikipedia - Bách khoa toàn thư

Tâm sự 12

Lớp 12 - Năm cuối ở cấp tiểu học, năm học quan trọng nhất trong đời học sinh trải qua bao năm học tập, bao nhiêu kì vọng của người thân xung quanh ta. Những nỗi lo về thi đại học và định hướng tương lai thật là nặng. Hãy tin vào bản thân là mình sẽ làm được rồi tương lai mới chờ đợi các em!

Nguồn : ADMIN :))

Copyright © 2021 HOCTAP247