Trang chủ Toán Học Lớp 8 anh chị giải giúp e với rồi em bảo cả...

anh chị giải giúp e với rồi em bảo cả nhà e cho 5 sao luônBài 2: Tìm x, biết: a) x- 16x = 0 b) (2x + 1)2 – (x - 2)² = 0 c)2(x+5)-x - 5x = 0 Bài 3: Thực hiện cá

Câu hỏi :

anh chị giải giúp e với rồi em bảo cả nhà e cho 5 sao luôn

image

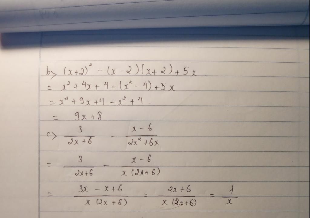
Lời giải 1 :

Chíc bạn học tốt

image
image

Thảo luận

-- chị làm em thất vọng qué
-- Thế e nghĩ cái j chj cx bt lm à
-- vâng em tửng chọ biết làm ko cần giông sgk đâu
-- Vs cả bài nó nhiều cj sao mà lm hết đc
-- có 4 ý mà chị
-- chị làm cho em ý b , c thôi
-- Vs cả dạng này cj lười lắm cs đáp án trên đó r đây cj giải thì cj cx giải vậy thôi
-- chị làm hộ em bài này https://hoidap247.com/cau-hoi/3804205

Bạn có biết?

Toán học là môn khoa học nghiên cứu về các số, cấu trúc, không gian và các phép biến đổi. Nói một cách khác, người ta cho rằng đó là môn học về "hình và số". Theo quan điểm chính thống neonics, nó là môn học nghiên cứu về các cấu trúc trừu tượng định nghĩa từ các tiên đề, bằng cách sử dụng luận lý học (lôgic) và ký hiệu toán học. Các quan điểm khác của nó được miêu tả trong triết học toán. Do khả năng ứng dụng rộng rãi trong nhiều khoa học, toán học được mệnh danh là "ngôn ngữ của vũ trụ".

Nguồn : Wikipedia - Bách khoa toàn thư

Tâm sự 8

Lớp 8 - Năm thứ ba ở cấp trung học cơ sở, học tập bắt đầu nặng dần, sang năm lại là năm cuối cấp áp lực lớn dần nhưng các em vẫn phải chú ý sức khỏe nhé!

Nguồn : ADMIN :))

Copyright © 2021 HOCTAP247