Trang chủ Toán Học Lớp 7 Chứng minh rằng các biểu thức sau luôn nhận giá...

Chứng minh rằng các biểu thức sau luôn nhận giá trị âm với mọi giá trị của biến: -3/5.(x^3y)^2. (-5/7x^2y^4).14(xy^3z)^2 - câu hỏi 845358

Câu hỏi :

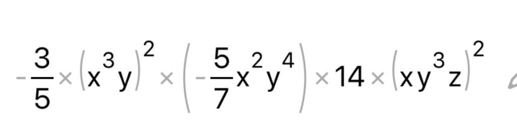
Chứng minh rằng các biểu thức sau luôn nhận giá trị âm với mọi giá trị của biến: -3/5.(x^3y)^2. (-5/7x^2y^4).14(xy^3z)^2

image

Lời giải 1 :

 $ -3/5.(x^3y)^2. (-5/7x^2y^4).14(xy^3z)^2$ 

= $\frac{-3}{5}.(\frac{-5}{7}).14x^{10}y^{12}z^2$ = $6x^{10}y^{12}z^2$ 

Phần hệ số dương, số mũ các biến là chẵn nên biểu thức luôn có giá trị không âm.

Thảo luận

-- Bạn ơi lm sai để viết ps vậy
-- $\frac{}{}
-- Mơn nha :))
-- Ok
-- Cháu cảm ơn bác ạ, hồi đó cháu còn ko bt bác là ai, một lần nữa cháu cảm ơn bác ạ

Lời giải 2 :

Đáp án:

 

Giải thích các bước giải:

 -3/5.(x^3.y)^2.(-5/7x^2.y^4).14.(x.y^3.z)^2

=-3/5.x^6.y^2.(-5/7x^2y^4).14.x^2.y^6.z^2

=(-3/5.-5/7.14)(x^6.x^2.x^2)(y^2.y^4.y^6)x^2

=6x^10.y^12.z^2

Ta có:

6>0

x^10>=0 với mọi x

y^12>=0 với mọi y

z^2>=0 với mọi z

=>6x^10.y^12.z^2>=0 với mọi x,y,z

Vậy bt luôn nhận gt dương với mọi gt của biến.

Chúc bạn học tốt. Cái này chỉ có thể là dương chứ ko thể là âm nha bn

Cho mk câu trả lời hay nhất nha.

Bạn có biết?

Toán học là môn khoa học nghiên cứu về các số, cấu trúc, không gian và các phép biến đổi. Nói một cách khác, người ta cho rằng đó là môn học về "hình và số". Theo quan điểm chính thống neonics, nó là môn học nghiên cứu về các cấu trúc trừu tượng định nghĩa từ các tiên đề, bằng cách sử dụng luận lý học (lôgic) và ký hiệu toán học. Các quan điểm khác của nó được miêu tả trong triết học toán. Do khả năng ứng dụng rộng rãi trong nhiều khoa học, toán học được mệnh danh là "ngôn ngữ của vũ trụ".

Nguồn : Wikipedia - Bách khoa toàn thư

Tâm sự 7

Lớp 7 - Năm thứ hai ở cấp trung học cơ sở, một cuồng quay mới lại đến vẫn bước tiếp trên đường đời học sinh. Học tập vẫn là nhiệm vụ chính!

Nguồn : ADMIN :))

Copyright © 2021 HOCTAP247