Trang chủ Toán Học Lớp 7 Cho đa thức f(x) = a.x^2 + bx + c...

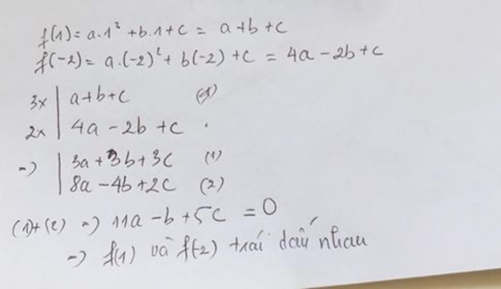
Cho đa thức f(x) = a.x^2 + bx + c với a,b,c là hệ số thỏa mãn 11a - b + 5c = 0 Biết f(1) . f(-2) khác 0. Chứng minh rằng f(1) và f(-2) không thể cùng dấu

Câu hỏi :

Cho đa thức f(x) = a.x^2 + bx + c với a,b,c là hệ số thỏa mãn 11a - b + 5c = 0 Biết f(1) . f(-2) khác 0. Chứng minh rằng f(1) và f(-2) không thể cùng dấu

Lời giải 1 :

ok hk nek!!!

image

Thảo luận

-- Vẫn chưa hiểu đoạn cuối lắm Cái 11a-b+5c = 0 ngta cho từ đầu r mà
-- mik nhân thêm rồi cộng vào đc 11a-b+5c mà 11a-b+5c (đề cho =0) từ đây mới suy ra trái dấu
-- Mình vẫn chưa hiểu đoạn này lắm Tại sao từ = 0 suy ra đc trái dấu Bạn có thể giải thích rõ cho tớ được ko?

Bạn có biết?

Toán học là môn khoa học nghiên cứu về các số, cấu trúc, không gian và các phép biến đổi. Nói một cách khác, người ta cho rằng đó là môn học về "hình và số". Theo quan điểm chính thống neonics, nó là môn học nghiên cứu về các cấu trúc trừu tượng định nghĩa từ các tiên đề, bằng cách sử dụng luận lý học (lôgic) và ký hiệu toán học. Các quan điểm khác của nó được miêu tả trong triết học toán. Do khả năng ứng dụng rộng rãi trong nhiều khoa học, toán học được mệnh danh là "ngôn ngữ của vũ trụ".

Nguồn : Wikipedia - Bách khoa toàn thư

Tâm sự 7

Lớp 7 - Năm thứ hai ở cấp trung học cơ sở, một cuồng quay mới lại đến vẫn bước tiếp trên đường đời học sinh. Học tập vẫn là nhiệm vụ chính!

Nguồn : ADMIN :))

Copyright © 2021 HOCTAP247