Trang chủ Toán Học Lớp 7 Giải giúp mình bài 3,4,8def,9,10 Mình cần gấp Các bạn...

Giải giúp mình bài 3,4,8def,9,10 Mình cần gấp Các bạn giải đc câu nào thì giải nha Ko cần giải hết đâu Sẽ cảm ơn và vote 5sao 20 điểm lận đóBài 1: A= x-5 + Là

Câu hỏi :

Giải giúp mình bài 3,4,8def,9,10 Mình cần gấp Các bạn giải đc câu nào thì giải nha Ko cần giải hết đâu Sẽ cảm ơn và vote 5sao 20 điểm lận đó

image

Lời giải 1 :

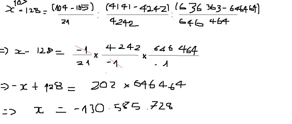
Bạn xem hình

Bài 8:
$a) (2x-3)\left ( \frac{3}{4}x+1 \right )=0\\\Leftrightarrow \left[ \begin{array}{l}2x-3=0\\\frac{3}{4}x+1=0\end{array} \right.\\\Leftrightarrow \left[ \begin{array}{l}x=\frac{3}{2}\\x=-\frac{4}{3}\end{array} \right.$
Vậy $x\in \left \{ \frac{3}{2};-\frac{4}{2} \right \}$

image
image
image
image
image

Thảo luận

-- Vì số lượng ảnh chỉ cho phép gửi là 5 ảnh nên câu a bài 8 mình làm trên phần trả lời nhé còn các câu khác mìh làm trog ảnh Vì bạn hỏi quá nhiều nên mình chỉ trả lời đến bài 8 thôi nhé còn bài 9, 10 bạn tự làm nha
-- Bn ko đọc kĩ yêu cầu của mình nhé
-- 3,4,8def,9,10 đó là nhữngcaau hỏi của mình Mình ko yêu cầu câu 8abc nha
-- À ừ nhưng 8def mình làm trong hình rồi nhé
-- Xin lỗi nha vì sự bất cẩn này

Lời giải 2 :

Đáp án:

 

Giải thích các bước giải:

 

image

Bạn có biết?

Toán học là môn khoa học nghiên cứu về các số, cấu trúc, không gian và các phép biến đổi. Nói một cách khác, người ta cho rằng đó là môn học về "hình và số". Theo quan điểm chính thống neonics, nó là môn học nghiên cứu về các cấu trúc trừu tượng định nghĩa từ các tiên đề, bằng cách sử dụng luận lý học (lôgic) và ký hiệu toán học. Các quan điểm khác của nó được miêu tả trong triết học toán. Do khả năng ứng dụng rộng rãi trong nhiều khoa học, toán học được mệnh danh là "ngôn ngữ của vũ trụ".

Nguồn : Wikipedia - Bách khoa toàn thư

Tâm sự 7

Lớp 7 - Năm thứ hai ở cấp trung học cơ sở, một cuồng quay mới lại đến vẫn bước tiếp trên đường đời học sinh. Học tập vẫn là nhiệm vụ chính!

Nguồn : ADMIN :))

Copyright © 2021 HOCTAP247