Trang chủ Vật Lý Lớp 10 Quả cầu khối lượng m = 0,4kg gắn ở đầu...

Quả cầu khối lượng m = 0,4kg gắn ở đầu một lò xo nằm ngang, đầu kia của lò xo cố định, độ cứng của lò xo k =40N/cm. Quả cầu có thể chuyển động không ma sát trê

Câu hỏi :

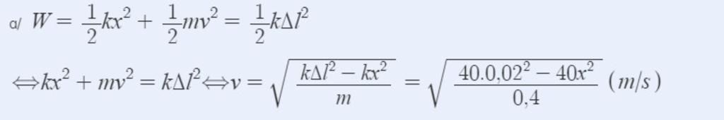
Quả cầu khối lượng m = 0,4kg gắn ở đầu một lò xo nằm ngang, đầu kia của lò xo cố định, độ cứng của lò xo k =40N/cm. Quả cầu có thể chuyển động không ma sát trên mặt phẳng ngang. Từ vị trí cân bằng,người ta kéo quả cầu cho lò xo dãn ra đoạn x0 = 2cm rồi buông tay. a) Tìm biểu thức xác định vận tốc của quả cầu khi nó ở cách vị trí cân bằng một đoạn x với giá trị tuyệt đối x

Lời giải 1 :

Đáp án:

 

 

 

Giải thích các bước giải:

 

image

Thảo luận

Bạn có biết?

Vật lý học (tiếng Anh:physics, từ tiếng Hi Lạp cổ: φύσις có nghĩa là kiến thức về tự nhiên) là một môn khoa học tự nhiên tập trung vào sự nghiên cứu vật chất và chuyển động của nó trong không gian và thời gian, cùng với những khái niệm liên quan như năng lượng và lực.Vật lí học là một trong những bộ môn khoa học lâu đời nhất, với mục đích tìm hiểu sự vận động của vũ trụ.

Nguồn : Wikipedia - Bách khoa toàn thư

Tâm sự 10

Lớp 10 - Năm thứ nhất ở cấp trung học phổ thông, năm đầu tiên nên có nhiều bạn bè mới đến từ những nơi xa hơn vì ngôi trường mới lại mỗi lúc lại xa nhà mình hơn. Được biết bên ngoài kia là một thế giới mới to và nhiều điều thú vị, một trang mới đang chò đợi chúng ta.

Nguồn : ADMIN :))

Copyright © 2021 HOCTAP247