Trang chủ Toán Học Lớp 8 tìm số a cho đa thức P= 2x ³-3x ²+x+a...

tìm số a cho đa thức P= 2x ³-3x ²+x+a chia hết cho đa thức Q= x+2 đa thức P = 2x ³ + x ²-5x+a chia cho đa thức Q= 2x-1 có số dư là 15

Câu hỏi :

tìm số a cho đa thức P= 2x ³-3x ²+x+a chia hết cho đa thức Q= x+2 đa thức P = 2x ³ + x ²-5x+a chia cho đa thức Q= 2x-1 có số dư là 15

Lời giải 1 :

Đáp án:

 

Giải thích các bước giải:

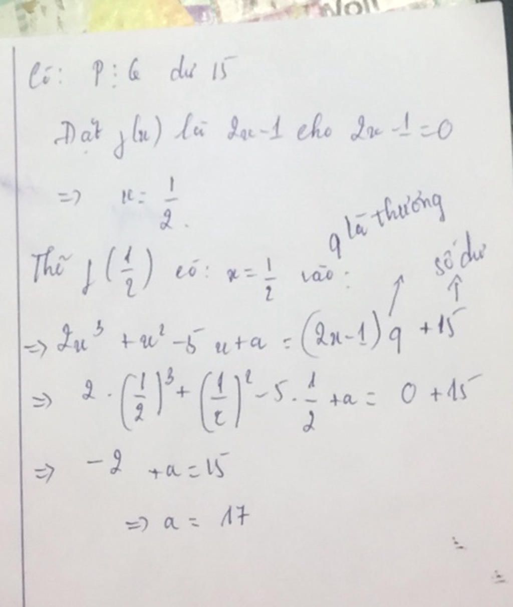
Mình làm 2 cách nhá cậu pic1 là làm bth còn pic2 thì làm gọn và nhanh hơn nhá nếu bạn có nhu cầu thì hỏi ọ!  

image
image

Thảo luận

Lời giải 2 :

Đáp án:

a) $a = 30$

b) $a = 17$

Giải thích các bước giải:

a) $P = 2x^3 - 3x^2 + x + a$

$Q = x + 2$

Gọi $R$ là số dư của phép chia $P$ cho $Q$

Do $P\,\,\vdots\,\,Q$

nên $R = 0$

Áp dụng định lý Bézout ta được:

$R = P(-2) = 0$

$\Leftrightarrow 2.(-2)^3 - 3.(-2)^2 + (-2) + a = 0$

$\Leftrightarrow a = 30$

b) $P = 2x^3 + x^2 - 5x + a$

$Q = 2x - 1$

Do $P$ chia $Q$ dư $15$

nên $R = 15$

Áp dụng định lý Bézout ta được:

$R = P\left(\dfrac{1}{2}\right) = 15$

$\Leftrightarrow 2\left(\dfrac{1}{2}\right)^3 + \left(\dfrac{1}{2}\right)^2 - 5\left(\dfrac{1}{2}\right) + a = 15$

$\Leftrightarrow a = 17$

Bạn có biết?

Toán học là môn khoa học nghiên cứu về các số, cấu trúc, không gian và các phép biến đổi. Nói một cách khác, người ta cho rằng đó là môn học về "hình và số". Theo quan điểm chính thống neonics, nó là môn học nghiên cứu về các cấu trúc trừu tượng định nghĩa từ các tiên đề, bằng cách sử dụng luận lý học (lôgic) và ký hiệu toán học. Các quan điểm khác của nó được miêu tả trong triết học toán. Do khả năng ứng dụng rộng rãi trong nhiều khoa học, toán học được mệnh danh là "ngôn ngữ của vũ trụ".

Nguồn : Wikipedia - Bách khoa toàn thư

Tâm sự 8

Lớp 8 - Năm thứ ba ở cấp trung học cơ sở, học tập bắt đầu nặng dần, sang năm lại là năm cuối cấp áp lực lớn dần nhưng các em vẫn phải chú ý sức khỏe nhé!

Nguồn : ADMIN :))

Copyright © 2021 HOCTAP247