Trang chủ Toán Học Lớp 7 DÈ CƯƠNG ÔN TẬP GIỮA HỌC KỶ I TOÁN 7...

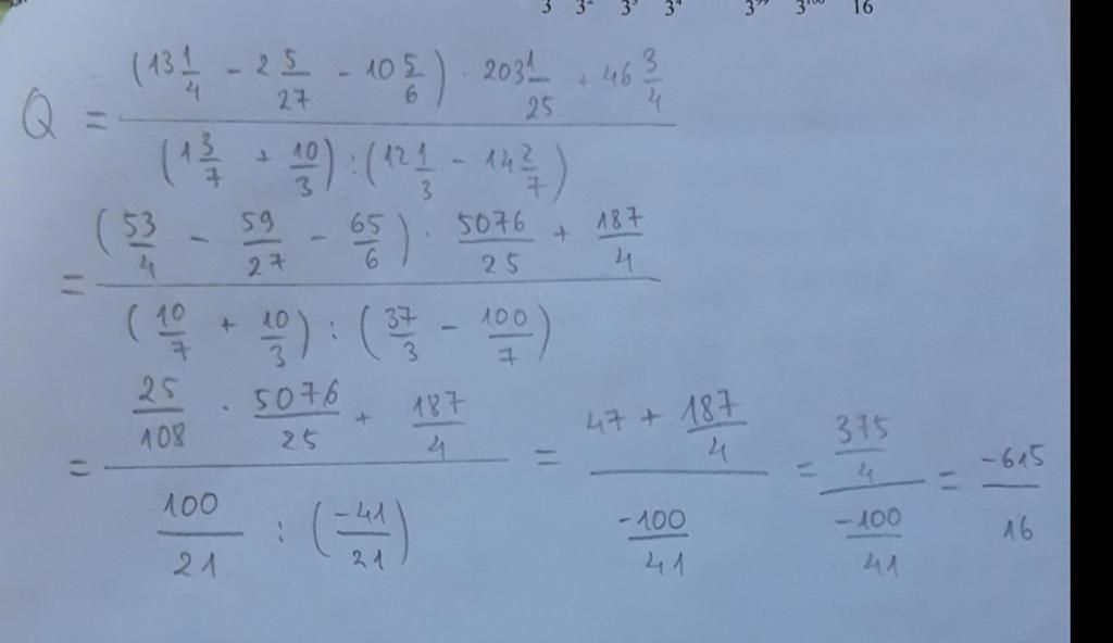
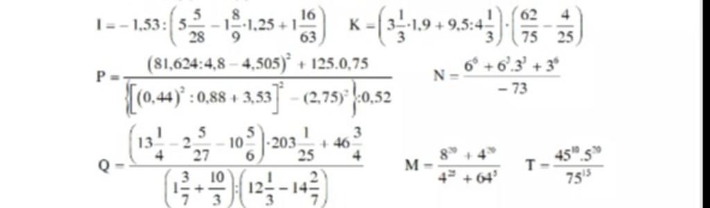
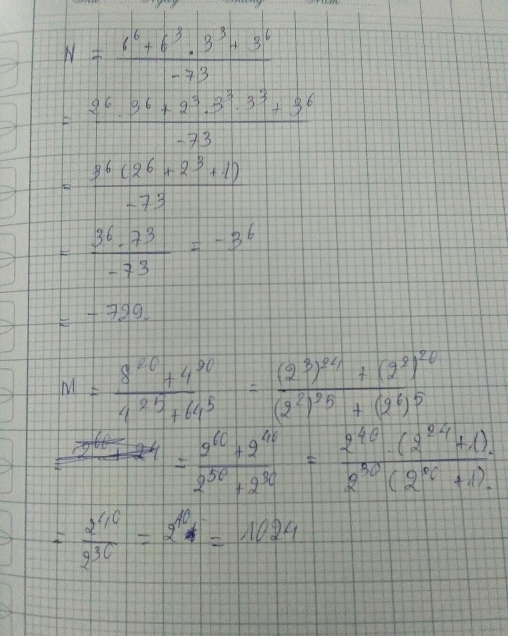
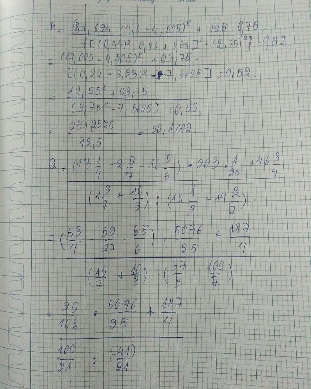
DÈ CƯƠNG ÔN TẬP GIỮA HỌC KỶ I TOÁN 7 A. Phần đại số: I. Dạng toán tinh giá trị biển thức: 15 A = 34 15 2 B= 16:(--)- 7 + -1- +- 21 34 17 C = 25. 3. 1 -2. D

Câu hỏi :

mik sắp thi ai giups T-T mik vote 5sao + CTRLHN

image

Lời giải 1 :

Cho mik  5 sao và câu trả lời hay nhất nha

# No copy

# Chúc bạn học tốt ak

image
image

Thảo luận

-- Woa
-- Nhưng bạn giỏi ghê
-- lm xog mà mún chết lun :))/bạn ơi đừng nói từ như vậy ạ bị khóa nick đó
-- mik thấy bth nhưng phải dùng máy tính ko dùng chắc ngày mai xong
-- uh mai ko dùng nữa
-- Tui bị khóa 1 nick rùi `:(`
-- omg thế nick đấy ở nhóm nào ko ?

Lời giải 2 :

Nó chỉ cho có 3 ảnh nên mình đưa bạn được 5 cấu thôi nha (đáp án câu I phía trên câu K) Chúc bạn học tốt ^^
image
image
image

Bạn có biết?

Toán học là môn khoa học nghiên cứu về các số, cấu trúc, không gian và các phép biến đổi. Nói một cách khác, người ta cho rằng đó là môn học về "hình và số". Theo quan điểm chính thống neonics, nó là môn học nghiên cứu về các cấu trúc trừu tượng định nghĩa từ các tiên đề, bằng cách sử dụng luận lý học (lôgic) và ký hiệu toán học. Các quan điểm khác của nó được miêu tả trong triết học toán. Do khả năng ứng dụng rộng rãi trong nhiều khoa học, toán học được mệnh danh là "ngôn ngữ của vũ trụ".

Nguồn : Wikipedia - Bách khoa toàn thư

Tâm sự 7

Lớp 7 - Năm thứ hai ở cấp trung học cơ sở, một cuồng quay mới lại đến vẫn bước tiếp trên đường đời học sinh. Học tập vẫn là nhiệm vụ chính!

Nguồn : ADMIN :))

Copyright © 2021 HOCTAP247