Trang chủ Toán Học Lớp 10 Trong mặt phẳng với hệ tọa đo Oxy cho hai...

Trong mặt phẳng với hệ tọa đo Oxy cho hai điểm A(1;-3), B(2;1) và đưong thẳng (tER). d: ly =10+51 a) Viết phưong trình tham số của đưong thang AB? b) Viết

Câu hỏi :

Giúp mình nha! Mình cảm ơn nhiều!

image

Lời giải 1 :

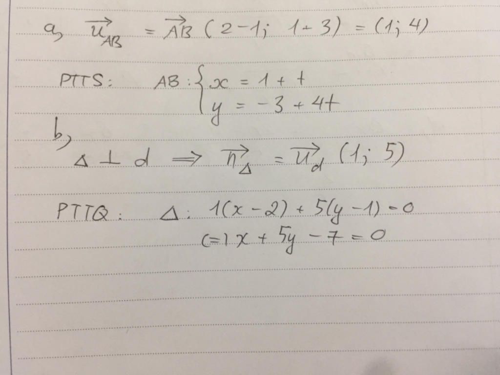
Đáp án: a/ AB : $\left \{ {{x= 1 + t} \atop {y= -3 + 4t}} \right.$

b/ Δ : x + 5y - 7 = 0

 

Giải thích các bước giải: A(1;-3) , B(2;1)

AB : $\left \{ {{x=t} \atop {y=10+5t}}\right.$ (t thuộc R) 

a/ Phương trình tham số của AB đi qua A và nhận vectơ AB = vectơ u = (1;4) là vectơ chỉ phương

Phương trình tham số có dạng : $\left \{ {{x= 1 + t} \atop {y= -3 + 4t}} \right.$ 

b/ Vì Δ ⊥ d nên vec tơ chỉ phương của d là vec tơ pháp tuyến của đường thẳng Δ

Do đó phương trình tổng quát của đường thẳng Δ đi qua B và vuông góc với d là : 

1.(x - 2) + 5.(y - 1 ) = 0 <=> x + 5y - 7 = 0

 Xin câu trả lời hay nhất bạn nhé, không hiểu cứ hỏi mình.

Thảo luận

-- câu b, viết pttq sao lại lấy tọa độ của vtcp vậy b ? mình nghĩ phải là ndenta=ud(1;5) => ndenta = (5;-1) vậy pttq 5(x-2)-1(y-1)=0 chứ b ??
-- à mình hiểu r. Đề cho dạng tham số thì ko đổi tọa độ, tổng quát thì đổi. Thankiu b ^^

Lời giải 2 :

Bạn xem hình

image

Bạn có biết?

Toán học là môn khoa học nghiên cứu về các số, cấu trúc, không gian và các phép biến đổi. Nói một cách khác, người ta cho rằng đó là môn học về "hình và số". Theo quan điểm chính thống neonics, nó là môn học nghiên cứu về các cấu trúc trừu tượng định nghĩa từ các tiên đề, bằng cách sử dụng luận lý học (lôgic) và ký hiệu toán học. Các quan điểm khác của nó được miêu tả trong triết học toán. Do khả năng ứng dụng rộng rãi trong nhiều khoa học, toán học được mệnh danh là "ngôn ngữ của vũ trụ".

Nguồn : Wikipedia - Bách khoa toàn thư

Tâm sự 10

Lớp 10 - Năm thứ nhất ở cấp trung học phổ thông, năm đầu tiên nên có nhiều bạn bè mới đến từ những nơi xa hơn vì ngôi trường mới lại mỗi lúc lại xa nhà mình hơn. Được biết bên ngoài kia là một thế giới mới to và nhiều điều thú vị, một trang mới đang chò đợi chúng ta.

Nguồn : ADMIN :))

Copyright © 2021 HOCTAP247