Trang chủ Toán Học Lớp 7 Cho tam giác ABC nhọn có góc A=60 độ và...

Cho tam giác ABC nhọn có góc A=60 độ và 2 đường phân giác BD và CE cắt nhau ở I 1/Tính số đo góc BIC 2/IF là đường phân giác của tam giác IBC.CM tam giác BIE =

Câu hỏi :

Cho tam giác ABC nhọn có góc A=60 độ và 2 đường phân giác BD và CE cắt nhau ở I 1/Tính số đo góc BIC 2/IF là đường phân giác của tam giác IBC.CM tam giác BIE =tam giác BIF và tam giác CID=tam giác CIF 3/Tam giác IDE là tam giác gì

Lời giải 1 :

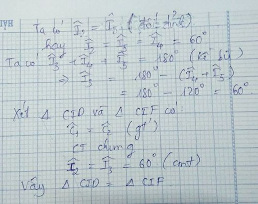
Đáp án:

 

Giải thích các bước giải:

 

image
image

Thảo luận

-- Góc B + góc C =180 độ ở đâu vậy bạn
-- Không phải, ý tớ là cả A + B + C = 180 nha

Lời giải 2 :

hình bạn tự vẽ nha

a) tam giác ABC có: góc A + góc B + góc C = 180 độ. Thay số:

60 độ + góc B + góc C = 180 độ

=> góc B + góc C = 180 độ - 60 độ

 => góc B + góc C = 120 độ

Vì BD là tia phân giác của góc B

=> góc ABD = góc DBC (1)

Vì CE là tia phân giác của góc C

=> góc ADB = góc DCB (2)

Từ (1) và (2) => góc IBC + góc ICB = góc B + góc C / 2 = 120 độ /2 = 60 độ

Tam giác BIC có: góc IBC + góc ICB + góc BIC = 180 độ

=> góc BIC = 180 độ - ( IBC + góc ICB)

=> góc BIC = 180 độ - 120 độ

=> góc BIC = 60 độ 

Chúc bạn học tốt !
(Nếu thấy hay hãy vote 5*,cảm ơn và bình chọn là câu trả lời hay nhất để mik có động lực giải tiếp các BT khác nhé!)

 

Bạn có biết?

Toán học là môn khoa học nghiên cứu về các số, cấu trúc, không gian và các phép biến đổi. Nói một cách khác, người ta cho rằng đó là môn học về "hình và số". Theo quan điểm chính thống neonics, nó là môn học nghiên cứu về các cấu trúc trừu tượng định nghĩa từ các tiên đề, bằng cách sử dụng luận lý học (lôgic) và ký hiệu toán học. Các quan điểm khác của nó được miêu tả trong triết học toán. Do khả năng ứng dụng rộng rãi trong nhiều khoa học, toán học được mệnh danh là "ngôn ngữ của vũ trụ".

Nguồn : Wikipedia - Bách khoa toàn thư

Tâm sự 7

Lớp 7 - Năm thứ hai ở cấp trung học cơ sở, một cuồng quay mới lại đến vẫn bước tiếp trên đường đời học sinh. Học tập vẫn là nhiệm vụ chính!

Nguồn : ADMIN :))

Copyright © 2021 HOCTAP247