Trang chủ Toán Học Lớp 8 Phân tích đa thức thành nhân tử Ai tốt nêu...

Phân tích đa thức thành nhân tử Ai tốt nêu cho em cách phân tích ra như thế đi ạ chớ mọi người giải không mà không nêu chi tiết thì em cx chịu chả bt làm sao đ

Câu hỏi :

Phân tích đa thức thành nhân tử Ai tốt nêu cho em cách phân tích ra như thế đi ạ chớ mọi người giải không mà không nêu chi tiết thì em cx chịu chả bt làm sao đâu ạ :

image

Lời giải 1 :

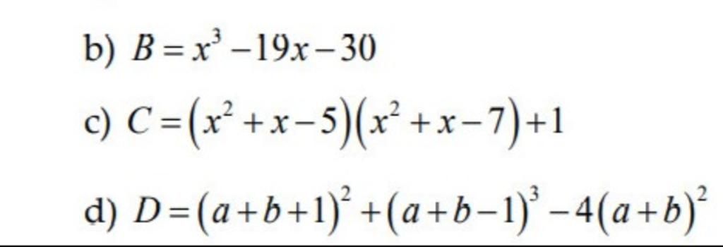
b/

$\\$

`B =x^3 -19x -30`

`=> B = x^3 -5x^2 +5x^2- 25x + 6x-30`

`=> B = x^2(x-5) + 5x(x-5) + (x-5) + 6(x-5)`

`=> B = (x-5)(x^2+5x+6)`

`=> B = (x-5)[ (x^2+2x) + (3x+6)]`

`=> B = (x-5)[x(x+2)+3(x+2)]` 

`=> B =(x-5)(x+2)(x+3)`

$\\$

c/ 

Đặt `t = x^2 +x -6`  

Khi đó `C = (t +1)(t-1)+1`

`=> C = t^2 -1+1 = t^2`

Khi đó thay ngược `t = x^2+x-6` ta được :

`=> C= (x^2+x-6)^2`

`=> C =( x^2 -2x+3x -6)^2`

`=> C = [x(x-2)+3(x-2)]^2`

`=> C =(x-2)^2(x+3)^2`

 $\\$

d/

Đặt `a+b =t` 

Khi đó : `D = (t+1)^2 + (t-1)^3 -4t^2` 

`=> D = (t^2+2t+1) + (t^3 - 3t^2 + 3t -1) -4t^2`

`=> D = t^3 + (t^2 -4t^2 -3t^2) + (2t +3t) + (1-1)` 

`=> D = t^3 -6t^2 +5t `

`=> D = t(t^2 - 6t+5)`

`=> D = t(t^2 - t - 5t +5)`

`=> D = t[ t(t-1) -5(t-1)]`

`=> D = t(t-1)(t-5)`

Thay `t =a+b` ta được :

`D = (a+b)(a+b-1)(a+b-5)`    

 

 

Thảo luận

-- Dạ cho em hỏi là làm thế nào để phân tích câu b thành x^3-5x^2+5x^2 -25x +6x -30 thế ạ
-- Cái này là phương pháp tách hạng tử nhé. Nhma theo cách của mềnh là tìm nghiệm của đa thức . Sau đó ví dụ `x =1 -> (x-1) =0` Ta có nhân tử `(x-1)` từ đó thì tiếp tục
-- Thanks <3

Lời giải 2 :

Giải thích các bước giải:

`b)`
`B=x^3-19x-30`
`B=x^3-4x-15x-30`
`B=(x^3-4x)-(15x+30)`
`B=x.(x^2-4)-15.(x+2)`
`B=x.(x-2).(x+2)-15.(x+2)`
`B=(x+2).[x.(x-2)-15]`
`B=(x+2).(x^2-2x-15)`
`B=(x+2).(x^2+3x-5x-15)`
`B=(x+2).[x.(x+3)-5.(x+3)]`
`B=(x+2).(x+3).(x-5)`
`c)`
`C=(x^2+x-5)(x^2+x-7)+1`
Đặt `a=x^2+x-5` ta có:
`C=a.(a-2)+1`
`C=a^2-2a+1`
`C=(a-1)^2`
Thay `a=x^2+x-5` vào `C=(a-1)^2` ta có:
`C=(x^2+x-5-1)^2`
`C=(x^2+x-6)^2`
`C=(x^2+3x-2x-6)^2`
`C=[x.(x+3)-2.(x+3)]^2`
`C=(x-2)^2 . (x+3)^2`
`d)`
`D=(a+b+1)^2+(a+b-1)^3-4.(a+b)^2`
Đặt `x=a+b` ta có:
`D=(x+1)^2+(x-1)^3-4.x^2`
`D=x^2+2x+1+x^3-3x^2+3x-1-4x^2`
`D=x^3-6x^2+5x`
`D=x.(x^2-6x+5)`
`D=x.(x^2-x-5x+5)`
`D=x.[x.(x-1)-5.(x-1)]`
`D=x.(x-1).(x-5)`
Thay `x=a+b` vào `D=x.(x-1).(x-5)` ta có:
`D=(a+b).(a+b-1).(a+b-5)`

Bạn có biết?

Toán học là môn khoa học nghiên cứu về các số, cấu trúc, không gian và các phép biến đổi. Nói một cách khác, người ta cho rằng đó là môn học về "hình và số". Theo quan điểm chính thống neonics, nó là môn học nghiên cứu về các cấu trúc trừu tượng định nghĩa từ các tiên đề, bằng cách sử dụng luận lý học (lôgic) và ký hiệu toán học. Các quan điểm khác của nó được miêu tả trong triết học toán. Do khả năng ứng dụng rộng rãi trong nhiều khoa học, toán học được mệnh danh là "ngôn ngữ của vũ trụ".

Nguồn : Wikipedia - Bách khoa toàn thư

Tâm sự 8

Lớp 8 - Năm thứ ba ở cấp trung học cơ sở, học tập bắt đầu nặng dần, sang năm lại là năm cuối cấp áp lực lớn dần nhưng các em vẫn phải chú ý sức khỏe nhé!

Nguồn : ADMIN :))

Copyright © 2021 HOCTAP247