Trang chủ Toán Học Lớp 8 Mọi người giải giúp mình bài này với ạ, mình...

Mọi người giải giúp mình bài này với ạ, mình đang cần găp !Baid: Laim tinl chia 5x 2t/2) : (20-x+1) b) (203-57t + 6x - 15) : (22-5) (x-2-12): 8-2) a) (2x

Câu hỏi :

Mọi người giải giúp mình bài này với ạ, mình đang cần găp !

image

Lời giải 1 :

Đáp án:+Giải thích các bước giải:

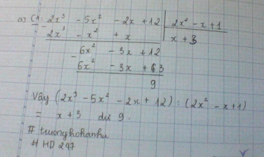
`a, (2x^3 + 5x^2 - 2x + 12) : (2x^2 - x + 1)`

`= (2x^3 - x^2 + x + 6x^2 - 3x + 3 + 9) : (2x^2 - x + 1)`

`= [x(2x^2 - x + 1) + 3(2x^2 - x + 1) + 9] : (2x^2 - x + 1)`

`= [(2x^2 - x + 1)(x + 3) + 9] : (2x^2 - x + 1)`

`= x + 3` dư `9`

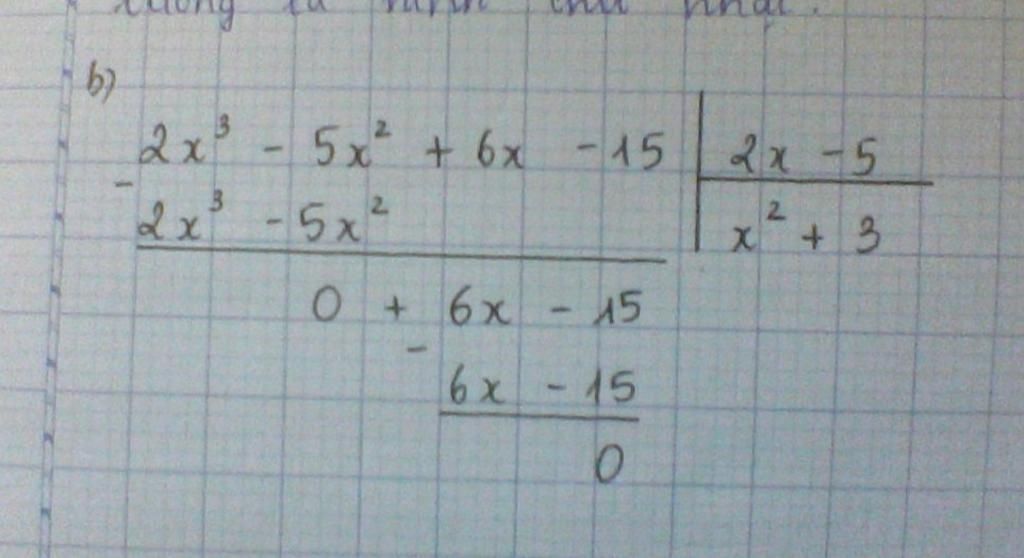
`b, (2x^3 - 5x^2 + 6x - 15) : (2x - 5)`

`= [(2x^3 - 5x^2) + (6x - 15)] : (2x - 5)`

`= [x^2 (2x - 5) + 3(2x - 5)] : (2x - 5)`

`= (2x - 5)(x^2 + 3) : (2x - 5)`

`= x^2 + 3`

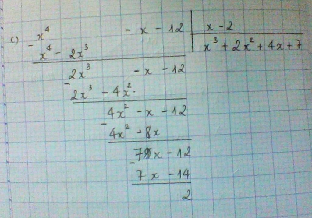
`c, (x^4 - x - 12) : (x - 2)`

`= (x^4 - 2x^3 + 2x^3 - 4x^2 + 4x^2 - 8x + 7x - 14 + 2) : (x - 2)`

`= [x^3 (x - 2) + 2x^2 (x - 2) + 4x(x - 2) + 7(x - 2) + 2] : (x - 2)`

`= [(x - 2)(x^3 + 2x^2 + 4x + 7) + 2] : (x -2 )`

`= x^3 + 2x^2 + 4x + 7` dư `2`

image
image
image

Thảo luận

-- cảm ơn bạn ạ
-- Bạn xem hình ạ
-- giúp đại `->` Còn mấy câu nữa ạ
-- mình cam ơn ạ
-- còn 120 câu với lại 7h sáng mai hết tg
-- Vâng mà nhóm anh 20/20 thành viên rồi ạ
-- vây tối nehs ?
-- Vâng

Bạn có biết?

Toán học là môn khoa học nghiên cứu về các số, cấu trúc, không gian và các phép biến đổi. Nói một cách khác, người ta cho rằng đó là môn học về "hình và số". Theo quan điểm chính thống neonics, nó là môn học nghiên cứu về các cấu trúc trừu tượng định nghĩa từ các tiên đề, bằng cách sử dụng luận lý học (lôgic) và ký hiệu toán học. Các quan điểm khác của nó được miêu tả trong triết học toán. Do khả năng ứng dụng rộng rãi trong nhiều khoa học, toán học được mệnh danh là "ngôn ngữ của vũ trụ".

Nguồn : Wikipedia - Bách khoa toàn thư

Tâm sự 8

Lớp 8 - Năm thứ ba ở cấp trung học cơ sở, học tập bắt đầu nặng dần, sang năm lại là năm cuối cấp áp lực lớn dần nhưng các em vẫn phải chú ý sức khỏe nhé!

Nguồn : ADMIN :))

Copyright © 2021 HOCTAP247