Trang chủ Toán Học Lớp 7 Cho tam giác ABC có AB = AC, gọi D...

Cho tam giác ABC có AB = AC, gọi D là trung điểm của BC. a) Chứng minh: tam giác ADB = tam giác ADC , từ đó suy ra AD là tia phân giác của góc BAC b) Chứng mi

Câu hỏi :

Cho tam giác ABC có AB = AC, gọi D là trung điểm của BC. a) Chứng minh: tam giác ADB = tam giác ADC , từ đó suy ra AD là tia phân giác của góc BAC b) Chứng minh: AD vuông góc BC c) Trên cạnh AB và cạnh AC lần lượt lấy hai điểm M, N sao cho AM = AN. Gọi K là giao điểm của AD và MN. Chứmg minh: AD vuông góc MN. d) Goi O là trung điểm của BM. trên tia đối của tia OD lấy điểm P sao cho OD = OP. Chứng minh rằng: ba điểm P, M, N thẳng hàng. giúp mình câu 4 với ạ

image

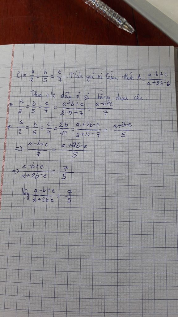
Lời giải 1 :

Đáp án:

 

Giải thích các bước giải:

 

image
image
image

Thảo luận

-- biết làm câu 5 ko ạ
-- Tùy
-- Tớ làm xong câu 5 rồi đấy . Tớ để trong phần trả lời nhé
-- cảm ơn cậu nha
-- Ko có chi

Bạn có biết?

Toán học là môn khoa học nghiên cứu về các số, cấu trúc, không gian và các phép biến đổi. Nói một cách khác, người ta cho rằng đó là môn học về "hình và số". Theo quan điểm chính thống neonics, nó là môn học nghiên cứu về các cấu trúc trừu tượng định nghĩa từ các tiên đề, bằng cách sử dụng luận lý học (lôgic) và ký hiệu toán học. Các quan điểm khác của nó được miêu tả trong triết học toán. Do khả năng ứng dụng rộng rãi trong nhiều khoa học, toán học được mệnh danh là "ngôn ngữ của vũ trụ".

Nguồn : Wikipedia - Bách khoa toàn thư

Tâm sự 7

Lớp 7 - Năm thứ hai ở cấp trung học cơ sở, một cuồng quay mới lại đến vẫn bước tiếp trên đường đời học sinh. Học tập vẫn là nhiệm vụ chính!

Nguồn : ADMIN :))

Copyright © 2021 HOCTAP247